Why Penalize Peacefull Expansion with Science?

  • We have updated our Community Code of Conduct. Please read through the new rules for the forum that are an integral part of Paradox Interactive’s User Agreement.

TheDungen

Field Marshal
80 Badges
Jan 31, 2015
12.131
7.922
  • Crusader Kings II: Jade Dragon
  • Stellaris: Galaxy Edition
  • Europa Universalis IV: Mare Nostrum
  • Cities: Skylines - After Dark
  • Europa Universalis IV: Common Sense
  • Crusader Kings II: Conclave
  • Cities: Skylines
  • Europa Universalis 4: Emperor
  • Europa Universalis IV: El Dorado
  • Magicka: Wizard Wars Founder Wizard
  • Crusader Kings II: Way of Life
  • Pillars of Eternity
  • Humble Paradox Bundle
  • Crusader Kings II: Horse Lords
  • Stellaris: Nemesis
  • War of the Roses
  • Stellaris
  • Stellaris: Galaxy Edition
  • Hearts of Iron IV: Cadet
  • Hearts of Iron IV: Colonel
  • Stellaris: Necroids
  • Europa Universalis IV: Rights of Man
  • Stellaris: Digital Anniversary Edition
  • Stellaris: Leviathans Story Pack
  • Hearts of Iron IV: Together for Victory
  • Crusader Kings II: Monks and Mystics
  • Hearts of Iron IV: Expansion Pass
  • Europa Universalis IV: Rule Britannia
  • Europa Universalis IV: Dharma
  • Crusader Kings II: Holy Fury
  • Europa Universalis IV: Golden Century
  • Imperator: Rome Deluxe Edition
  • Stellaris: Ancient Relics
  • Stellaris: Lithoids
  • Stellaris: Federations
  • Europa Universalis IV
  • Imperator: Rome - Magna Graecia
  • Crusader Kings III
  • Stellaris: Humanoids Species Pack
  • Stellaris: Apocalypse
  • Europa Universalis IV: Mandate of Heaven
  • Hearts of Iron IV: Death or Dishonor
  • Age of Wonders III
  • Age of Wonders
  • Age of Wonders II
  • Teleglitch: Die More Edition
  • Victoria 2
  • Europa Universalis IV: Cradle of Civilization
  • Europa Universalis IV: Pre-order
  • Stellaris: Synthetic Dawn
Most games except almost all strategy/grand-strategy games, where early gains pay-off tenfold in the late game.
Yes and that's a big reason that unless you play civ5 at quick you rarely finish these games. Also it's not realistic, in reality no empire has lasted forever, once the momentum of it's inital expansion was lost things usually started going really badly for them. I think that there could be mechanics where being to powerful caused you to drift towards being (sort of) a fallen empire.
 
  • 1
  • 1
Reactions:

Pen Name

Captain
33 Badges
Jan 6, 2014
470
1.561
  • Europa Universalis IV
  • Crusader Kings II
  • Stellaris: Synthetic Dawn
  • Stellaris - Path to Destruction bundle
  • Cities: Skylines - Parklife Pre-Order
  • Stellaris: Necroids
  • Cities: Skylines - Parklife
  • Shadowrun Returns
  • Cities: Skylines Industries
  • BATTLETECH: Flashpoint
  • Stellaris: Megacorp
  • Prison Architect
  • Cities: Skylines - Campus
  • Stellaris: Ancient Relics
  • BATTLETECH: Season pass
  • Stellaris: Lithoids
  • BATTLETECH: Heavy Metal
  • Stellaris: Federations
  • Stellaris: Apocalypse
  • Stellaris: Humanoids Species Pack
  • Cities: Skylines - Green Cities
  • Age of Wonders III
  • BATTLETECH
  • Cities: Skylines - Mass Transit
  • Cities: Skylines - Natural Disasters
  • Stellaris: Leviathans Story Pack
  • Stellaris: Digital Anniversary Edition
  • Hearts of Iron IV: Cadet
  • Stellaris
  • Cities: Skylines - Snowfall
  • Cities: Skylines - After Dark
  • Europa Universalis IV: El Dorado
  • Cities: Skylines
Yes and that's a big reason that unless you play civ5 at quick you rarely finish these games. Also it's not realistic, in reality no empire has lasted forever, once the momentum of it's inital expansion was lost things usually started going really badly for them. I think that there could be mechanics where being to powerful caused you to drift towards being (sort of) a fallen empire.

Well it would be tricky to do that in a way that doesn't just throw away any achievements the player has made.
 

GC13

The Last Emperor of Sol
90 Badges
Dec 30, 2010
3.181
3.060
  • Cities: Skylines - After Dark
  • Cities: Skylines - Green Cities
  • Cities: Skylines - Parklife
  • Cities: Skylines - Mass Transit
  • Cities: Skylines - Natural Disasters
  • Cities: Skylines Industries
  • Cities: Skylines - Snowfall
  • Cities: Skylines - Campus
  • Cities: Skylines Deluxe Edition
  • Cities: Skylines
  • Victoria 2
  • Europa Universalis IV
  • Victoria 2: A House Divided
  • Victoria 2: Heart of Darkness
  • Sengoku
  • Crusader Kings II: Sunset Invasion
  • Stellaris
  • Stellaris: Synthetic Dawn
  • Stellaris - Path to Destruction bundle
  • Stellaris: Apocalypse
  • Stellaris: Megacorp
  • Stellaris: Federations
  • Shadowrun Returns
  • Shadowrun: Dragonfall
  • Shadowrun: Hong Kong
  • Tyranny: Gold Edition
  • Tyranny - Bastards Wound
  • Pillars of Eternity
Well it would be tricky to do that in a way that doesn't just throw away any achievements the player has made.
They'd have to beef up the internal politics from something that's represented as a single tab on a window to a full window. It's a process that would probably take multiple DLCs worth of development work, but if there was actually meaningful internal gameplay like we were promised that would go a long way towards fixing a couple of problems (namely how easy blobbing is, and how blobbing is the only thing to do).
 

TheDungen

Field Marshal
80 Badges
Jan 31, 2015
12.131
7.922
  • Crusader Kings II: Jade Dragon
  • Stellaris: Galaxy Edition
  • Europa Universalis IV: Mare Nostrum
  • Cities: Skylines - After Dark
  • Europa Universalis IV: Common Sense
  • Crusader Kings II: Conclave
  • Cities: Skylines
  • Europa Universalis 4: Emperor
  • Europa Universalis IV: El Dorado
  • Magicka: Wizard Wars Founder Wizard
  • Crusader Kings II: Way of Life
  • Pillars of Eternity
  • Humble Paradox Bundle
  • Crusader Kings II: Horse Lords
  • Stellaris: Nemesis
  • War of the Roses
  • Stellaris
  • Stellaris: Galaxy Edition
  • Hearts of Iron IV: Cadet
  • Hearts of Iron IV: Colonel
  • Stellaris: Necroids
  • Europa Universalis IV: Rights of Man
  • Stellaris: Digital Anniversary Edition
  • Stellaris: Leviathans Story Pack
  • Hearts of Iron IV: Together for Victory
  • Crusader Kings II: Monks and Mystics
  • Hearts of Iron IV: Expansion Pass
  • Europa Universalis IV: Rule Britannia
  • Europa Universalis IV: Dharma
  • Crusader Kings II: Holy Fury
  • Europa Universalis IV: Golden Century
  • Imperator: Rome Deluxe Edition
  • Stellaris: Ancient Relics
  • Stellaris: Lithoids
  • Stellaris: Federations
  • Europa Universalis IV
  • Imperator: Rome - Magna Graecia
  • Crusader Kings III
  • Stellaris: Humanoids Species Pack
  • Stellaris: Apocalypse
  • Europa Universalis IV: Mandate of Heaven
  • Hearts of Iron IV: Death or Dishonor
  • Age of Wonders III
  • Age of Wonders
  • Age of Wonders II
  • Teleglitch: Die More Edition
  • Victoria 2
  • Europa Universalis IV: Cradle of Civilization
  • Europa Universalis IV: Pre-order
  • Stellaris: Synthetic Dawn
Well it would be tricky to do that in a way that doesn't just throw away any achievements the player has made.
That kind of thinking is why we haven't gotten any intresting late game mechanics (except in vic and vic has the advantage of only lasting a century).
"People don't like losing land or titles", why does it relaly matter hwta they like, if they won't keep playing anyway. Better agitated and playing than neither. A big part of why powerufl empires collapse is that often the threat of other powers is part of what keeps them together once they are on top or near the top then internal ambition takes over. And those who have power become complacent.

They'd have to beef up the internal politics from something that's represented as a single tab on a window to a full window. It's a process that would probably take multiple DLCs worth of development work, but if there was actually meaningful internal gameplay like we were promised that would go a long way towards fixing a couple of problems (namely how easy blobbing is, and how blobbing is the only thing to do).
So long as it does not become another obstacle in the early game. Maybee colonising could cause some kind of reduction in internal tensions, because while the galaxy seems like a big place where there's room for everyone there's less reason to be jealous of what other people have
 

Pen Name

Captain
33 Badges
Jan 6, 2014
470
1.561
  • Europa Universalis IV
  • Crusader Kings II
  • Stellaris: Synthetic Dawn
  • Stellaris - Path to Destruction bundle
  • Cities: Skylines - Parklife Pre-Order
  • Stellaris: Necroids
  • Cities: Skylines - Parklife
  • Shadowrun Returns
  • Cities: Skylines Industries
  • BATTLETECH: Flashpoint
  • Stellaris: Megacorp
  • Prison Architect
  • Cities: Skylines - Campus
  • Stellaris: Ancient Relics
  • BATTLETECH: Season pass
  • Stellaris: Lithoids
  • BATTLETECH: Heavy Metal
  • Stellaris: Federations
  • Stellaris: Apocalypse
  • Stellaris: Humanoids Species Pack
  • Cities: Skylines - Green Cities
  • Age of Wonders III
  • BATTLETECH
  • Cities: Skylines - Mass Transit
  • Cities: Skylines - Natural Disasters
  • Stellaris: Leviathans Story Pack
  • Stellaris: Digital Anniversary Edition
  • Hearts of Iron IV: Cadet
  • Stellaris
  • Cities: Skylines - Snowfall
  • Cities: Skylines - After Dark
  • Europa Universalis IV: El Dorado
  • Cities: Skylines
That kind of thinking is why we haven't gotten any intresting late game mechanics (except in vic and vic has the advantage of only lasting a century).
"People don't like losing land or titles", why does it relaly matter hwta they like, if they won't keep playing anyway. Better agitated and playing than neither. A big part of why powerufl empires collapse is that often the threat of other powers is part of what keeps them together once they are on top or near the top then internal ambition takes over. And those who have power become complacent.


So long as it does not become another obstacle in the early game.

Yes, but you can have internal conflicts all you like, but what do you do after that? Once I've consolidated my power and crushed the proletariat, or military revolts, or whatever, then what? All you do is move the goalposts.
 

Deronium

Second Lieutenant
4 Badges
Jan 24, 2016
132
83
  • Stellaris
  • Surviving Mars
  • Surviving Mars: Digital Deluxe Edition
  • Crusader Kings II
i think even now the end situation for player in stellaris is better, then any 4x game. And here you can do it even better. For example - if you want endgame crysis afer crysis - or just some bad events, to activate factions and rebels - just do it. some edited text files, 1-2 lines in defines.lua... it is done.
I mean you can do it in every moment without patches or dlc. Honestly - only thing, for what need patches - better ai. it is all. All other can be added or edit after 1-2 hours - as you will.

and the same is with topic first message. When paradox will change balance about research - everyone, who will disagree - can change it again in day 1.
 

TheDungen

Field Marshal
80 Badges
Jan 31, 2015
12.131
7.922
  • Crusader Kings II: Jade Dragon
  • Stellaris: Galaxy Edition
  • Europa Universalis IV: Mare Nostrum
  • Cities: Skylines - After Dark
  • Europa Universalis IV: Common Sense
  • Crusader Kings II: Conclave
  • Cities: Skylines
  • Europa Universalis 4: Emperor
  • Europa Universalis IV: El Dorado
  • Magicka: Wizard Wars Founder Wizard
  • Crusader Kings II: Way of Life
  • Pillars of Eternity
  • Humble Paradox Bundle
  • Crusader Kings II: Horse Lords
  • Stellaris: Nemesis
  • War of the Roses
  • Stellaris
  • Stellaris: Galaxy Edition
  • Hearts of Iron IV: Cadet
  • Hearts of Iron IV: Colonel
  • Stellaris: Necroids
  • Europa Universalis IV: Rights of Man
  • Stellaris: Digital Anniversary Edition
  • Stellaris: Leviathans Story Pack
  • Hearts of Iron IV: Together for Victory
  • Crusader Kings II: Monks and Mystics
  • Hearts of Iron IV: Expansion Pass
  • Europa Universalis IV: Rule Britannia
  • Europa Universalis IV: Dharma
  • Crusader Kings II: Holy Fury
  • Europa Universalis IV: Golden Century
  • Imperator: Rome Deluxe Edition
  • Stellaris: Ancient Relics
  • Stellaris: Lithoids
  • Stellaris: Federations
  • Europa Universalis IV
  • Imperator: Rome - Magna Graecia
  • Crusader Kings III
  • Stellaris: Humanoids Species Pack
  • Stellaris: Apocalypse
  • Europa Universalis IV: Mandate of Heaven
  • Hearts of Iron IV: Death or Dishonor
  • Age of Wonders III
  • Age of Wonders
  • Age of Wonders II
  • Teleglitch: Die More Edition
  • Victoria 2
  • Europa Universalis IV: Cradle of Civilization
  • Europa Universalis IV: Pre-order
  • Stellaris: Synthetic Dawn
Yes, but you can have internal conflicts all you like, but what do you do after that? Once I've consolidated my power and crushed the proletariat, or military revolts, or whatever, then what? All you do is move the goalposts.
You assume you can? But both fiction and reality are full of empires where the bravery and skill of their leaders could only delay the inevitable.
 

Dalwin

Field Marshal
48 Badges
Aug 11, 2003
11.303
6.150
Visit site
  • Hearts of Iron IV: Expansion Pass
  • Stellaris
  • Hearts of Iron IV Sign-up
  • Hearts of Iron IV: Cadet
  • Stellaris: Leviathans Story Pack
  • Hearts of Iron IV: Together for Victory
  • Stellaris - Path to Destruction bundle
  • Hearts of Iron IV: Death or Dishonor
  • Stellaris: Synthetic Dawn
  • Age of Wonders III
  • Hearts of Iron IV: Expansion Pass
  • Shadowrun Returns
  • Knights of Pen and Paper 2
  • Stellaris: Ancient Relics
  • Age of Wonders: Planetfall
  • Age of Wonders: Planetfall Sign Up
  • Stellaris: Lithoids
  • Age of Wonders: Planetfall - Revelations
  • Stellaris: Federations
  • Battle for Bosporus
  • Stellaris: Necroids
  • Stellaris: Nemesis
  • Hearts of Iron IV: By Blood Alone
  • Hearts of Iron IV: No Step Back
  • Magicka
  • Commander: Conquest of the Americas
  • Darkest Hour
  • Diplomacy
  • Europa Universalis III
  • Europa Universalis IV
  • Europa Universalis IV: Conquest of Paradise
  • For the Motherland
  • Hearts of Iron III
  • Knights of Pen and Paper +1 Edition
  • Leviathan: Warships
  • Lost Empire - Immortals
  • Crusader Kings II
  • March of the Eagles
  • Rome Gold
  • Semper Fi
  • Sengoku
  • Supreme Ruler 2020
  • Victoria 2
  • Rome: Vae Victis
  • Warlock: Master of the Arcane
  • Warlock 2: The Exiled
  • 500k Club
  • Pride of Nations
Reading through Clarke upcoming details I found my self perplexed by Paradox placing restrictions on other playstyles and the way they do it.

Science for large empires being restricted even more then normal seems not only stupid but a bit to heavy penalty for expansionist style of players. I was promissed a game where I can run my Empire. Now I am watching my game turn into run your little 5planet empire and be corb stomped into ground by large AI empire who are the same tech level as you despite it's size theoretically should have been inferior tech to your half size of them empire or expand and be curb stomped into the ground by technologicaly superior empire.

There is a reason sectors are in the game. I was under impresion that they were the ones suposedly being what restricts expansion as they bring more chaos to your empire.

This is starting to feel like a grand strategy version of CoD. You play linearly like we want you to or we force you to play it like that.
The population based science penalty is not a restriction. It does not limit your play style. It is a tradeoff whereby you can get a better science progression curve by holding back somewhat on how quickly you expand your empire. This is the opposite of a restriction. It introduces meaningful choice into the game.

If there were no tradeoff, no population penalty to science, then we would be restricted to only having one possible play style. Our only viable option without this tradeoff would be to always colonize everything we could reach as quickly as possible. There would be no choice about what is better. Taking the planet would always be better.

With the current system, a rampant expansionist falls behind somewhat on tech going into the middle game. However, once all those extra planets get fully developed he begins to catch up and will eventually pass his smaller neighbors even in tech. So the tradeoff is to have more minerals and energy forever as the expense of having less science for a while.

Someone who holds back on expansion to have better tech should know that time is not on his side. They have to be aggressive and take advantage of their tech edge early before it fades away.

I do not believe that the purpose of sectors is anti-expansion. Those who put forth that opinion are convinced that sectors suck and cannot be fixed. The real purpose of sectors is so that in MP games the most important ingredient to success is not the twitch factor that rules RTS games. Stellaris should be won by the best strategist instead of only the best multi-tasker.

I can't help but feel that it dodges the real problem, which is that research stations and mining stations don't increase tech costs like POPs do.
I disagree with your view of this. Those orbital facilities are themselves controlled by planet ownership. They are an extension to the planet. Some few can be had by frontier outposts but that costs another very precious commodity, influence. Furthermore, the orbital facilities are strongest early game. They do not scale up and become better over time as your planet based labs do.

Adequate approach would be to scale the research "number of planets" penalty according to number of unpopulated spots on the planets. So eventually as planets became more crowded that penalty would be replaced by the population penalty.
This sounds like a convoluted way of saying let's not have a population penalty at all, replacing it with a penalty based on the total number if inhabitable tiles you own. I see no real advantage to such an approach.

It would, obviously, favor races with faster growth in either birthrate or food. It would also favor choosing tile blockers early over other techs. If one thinks these two things would be an improvement, then I could see favoring such a system.
 
Last edited:
  • 1
Reactions:

evilcat

General
Jul 24, 2015
1.970
1.148
As i play i try to pump as many colony ships early on as i can ignoring science and military.
AI civs are too lazy to stop me. And i am able to catch up with technology later on.
There is huge benefit of grabbing tons of land, not only that unlocks more orbital stations, but also allows some insane values of production in the future, not to mention locking bordering civilizations out of expansion space.
And it is good, very good, insane.

But it is very easy tactics without any smart part. Also making game conquest who grabs more faster narrows number of optimal tactics.

Of course Pdx should countermseasure grabbing planets for the sake of it.
 

BigBadB

Private
12 Badges
Nov 12, 2013
13
19
  • Crusader Kings II
  • Europa Universalis IV
  • Europa Universalis IV: Call to arms event
  • Leviathan: Warships
  • Europa Universalis IV: Pre-order
  • Stellaris
  • Stellaris: Digital Anniversary Edition
  • Stellaris: Leviathans Story Pack
  • Stellaris - Path to Destruction bundle
  • BATTLETECH
  • Age of Wonders III
  • BATTLETECH - Digital Deluxe Edition
It's not about penalising expansion, it's simply about balancing the relationship between research progress and empire size.

Without this balancing factor, empire size and research rate would (everything else being equal) be directly proportional - double the size of your empire and you'd half the time to research a tech, make your empire ten times bigger and you'd research in a tenth of the time.

In a game where empires can vary in size from one planet to hundreds of star systems, this would create all kinds of issues.
 
  • 1
Reactions:

suksas

Private
2 Badges
Jul 26, 2012
23
19
  • Crusader Kings II
  • 500k Club
Yes and that's a big reason that unless you play civ5 at quick you rarely finish these games. Also it's not realistic, in reality no empire has lasted forever, once the momentum of it's inital expansion was lost things usually started going really badly for them. I think that there could be mechanics where being to powerful caused you to drift towards being (sort of) a fallen empire.

Actually with the way they presented the game I expected this to be the case in game. You become too big and problems start appearing in sectors.

Well it would be tricky to do that in a way that doesn't just throw away any achievements the player has made.
I was under impression that the game was about trying to manage an Empire not to play another MoO clone. Factions and sectors were supposedly built for this.



Yeah, I don't mind to much current limitations even if I do find it annoying that AI seems to be excluded from them. But them adding more and more and then some more is what scares me. Lets face it people. It's impossible to stop a snowballing player without adding some serious restrictions. Even then walkarounds will be found.
And Paradox did remove several features in the past games that they decided were to op without allowing the players to keep them in singleplayer.
 
  • 2
Reactions:

Dalwin

Field Marshal
48 Badges
Aug 11, 2003
11.303
6.150
Visit site
  • Hearts of Iron IV: Expansion Pass
  • Stellaris
  • Hearts of Iron IV Sign-up
  • Hearts of Iron IV: Cadet
  • Stellaris: Leviathans Story Pack
  • Hearts of Iron IV: Together for Victory
  • Stellaris - Path to Destruction bundle
  • Hearts of Iron IV: Death or Dishonor
  • Stellaris: Synthetic Dawn
  • Age of Wonders III
  • Hearts of Iron IV: Expansion Pass
  • Shadowrun Returns
  • Knights of Pen and Paper 2
  • Stellaris: Ancient Relics
  • Age of Wonders: Planetfall
  • Age of Wonders: Planetfall Sign Up
  • Stellaris: Lithoids
  • Age of Wonders: Planetfall - Revelations
  • Stellaris: Federations
  • Battle for Bosporus
  • Stellaris: Necroids
  • Stellaris: Nemesis
  • Hearts of Iron IV: By Blood Alone
  • Hearts of Iron IV: No Step Back
  • Magicka
  • Commander: Conquest of the Americas
  • Darkest Hour
  • Diplomacy
  • Europa Universalis III
  • Europa Universalis IV
  • Europa Universalis IV: Conquest of Paradise
  • For the Motherland
  • Hearts of Iron III
  • Knights of Pen and Paper +1 Edition
  • Leviathan: Warships
  • Lost Empire - Immortals
  • Crusader Kings II
  • March of the Eagles
  • Rome Gold
  • Semper Fi
  • Sengoku
  • Supreme Ruler 2020
  • Victoria 2
  • Rome: Vae Victis
  • Warlock: Master of the Arcane
  • Warlock 2: The Exiled
  • 500k Club
  • Pride of Nations
They are going to increase the role of factions and sectors (and bring back slave revolts too), but not for a while yet.

I have little doubt that the game we are playing 6 months from now will be fundamentally different from what it is now.
 

Toranth00

Obedient 'Friend' of the Blorg
64 Badges
Sep 10, 2012
66
149
  • Ancient Space
  • Magicka 2
  • Pillars of Eternity
  • Warlock 2: Wrath of the Nagas
  • Warlock 2: The Exiled
  • Sword of the Stars II
  • Sword of the Stars
  • Majesty 2 Collection
  • Leviathan: Warships
  • Knights of Pen and Paper +1 Edition
  • King Arthur II
  • Europa Universalis III
  • Dungeonland
  • Crusader Kings II: Sword of Islam
  • A Game of Dwarves
  • Arsenal of Democracy
  • Crusader Kings II
  • Crusader Kings II: Charlemagne
  • Crusader Kings II: Legacy of Rome
  • Crusader Kings II: The Old Gods
  • Crusader Kings II: The Republic
  • Crusader Kings II: Rajas of India
  • Crusader Kings II: Sons of Abraham
  • Crusader Kings II: Sunset Invasion
  • Darkest Hour
  • Stellaris - Path to Destruction bundle
  • Crusader Kings Complete
  • BATTLETECH
  • Surviving Mars
  • Stellaris: Synthetic Dawn
  • Tyranny - Tales from the Tiers
  • Tyranny - Bastards Wound
  • Age of Wonders III
  • Age of Wonders: Planetfall - Revelations
  • Age of Wonders
  • Crusader Kings II: Jade Dragon
  • Stellaris: Apocalypse
  • Surviving Mars: Digital Deluxe Edition
  • Crusader Kings II: Monks and Mystics
  • Stellaris: Leviathans Story Pack
  • Stellaris: Digital Anniversary Edition
  • Tyranny: Archon Edition
  • Crusader Kings II: Reapers Due
  • Stellaris
  • Crusader Kings II: Conclave
  • Crusader Kings II: Horse Lords
  • Crusader Kings II: Way of Life
  • Pride of Nations
  • Warlock: Master of the Arcane
  • Teleglitch: Die More Edition
The population based science penalty is not a restriction. It does not limit your play style. It is a tradeoff whereby you can get a better science progression curve by holding back somewhat on how quickly you expand your empire. This is the opposite of a restriction. It introduces meaningful choice into the game.
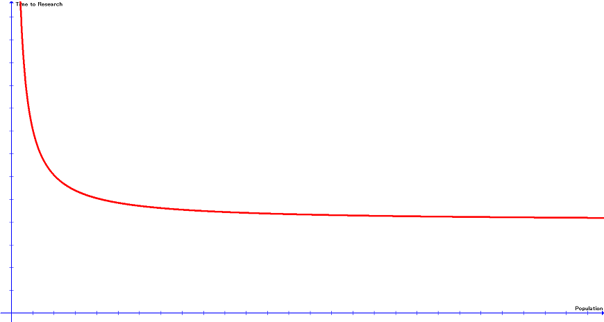
It isn't as meaningful as you seem to think. The tech research rate plot isn't very interesting. Here:

Research.png


Population is the X axis, increasing to the right.
Time to research is the Y axis.
This exact line is 1-1000 pop, researching a 3880 cost tech using 16% of the population X working Labs of this tech's type, and 100% bonuses in research. The limit of the research time is 41 months. Formally, limit time is (Research cost * 0.02) / (this tech avg lab output * % pop working those labs * research speed multiplier).

As you can see, the line quickly approaches a limit. At 50 pop, you'll be running about twice the limit-research-time, while at 250 pop, you'll be hitting 110% -120% of the fastest time.

So, you can see that if you keep a fixed percentage of your population working labs, your research speed stops improving. If you increase the output of labs, increase the percentage of pop working those labs, or increase your research speed bonuses, the line moves up or down proportionally (a 10% bonus moves the line down 10% time; doubling the bonus halves the time, etc.)

TL;DR - For a fixed percentage of POP working labs, the difference between 50 pop and 100 pop is big, but the difference between 250 POP and 2500 POP is minor. OTOH, mineral and energy production are absolute, not proportional, so the difference between 250 POP and 2500 POP is 10x. By endgame, it's all about the bonuses - And since a small empire will have the same bonuses as a large one with the same ethos and traits, so the large empire is unconditionally better.

TL;DR's TL;DR - Staying small requires sacrificing mineral and energy production, while going big allows you to have more minerals and energy without losing research.
 
  • 3
Reactions:

suksas

Private
2 Badges
Jul 26, 2012
23
19
  • Crusader Kings II
  • 500k Club
AI doesn't have any penalties that players have so I doubt it needs any more help. If the problem is AI being to weak then Dev's should work on it rather then penalizing players.
Still not happy with this development. But hopefully like some of you have said it will normalize. And hopefully dev's won't decide to penalize players even more once they start snowballing again. Or I might just as well already ask for a refund.
 

GC13

The Last Emperor of Sol
90 Badges
Dec 30, 2010
3.181
3.060
  • Cities: Skylines - After Dark
  • Cities: Skylines - Green Cities
  • Cities: Skylines - Parklife
  • Cities: Skylines - Mass Transit
  • Cities: Skylines - Natural Disasters
  • Cities: Skylines Industries
  • Cities: Skylines - Snowfall
  • Cities: Skylines - Campus
  • Cities: Skylines Deluxe Edition
  • Cities: Skylines
  • Victoria 2
  • Europa Universalis IV
  • Victoria 2: A House Divided
  • Victoria 2: Heart of Darkness
  • Sengoku
  • Crusader Kings II: Sunset Invasion
  • Stellaris
  • Stellaris: Synthetic Dawn
  • Stellaris - Path to Destruction bundle
  • Stellaris: Apocalypse
  • Stellaris: Megacorp
  • Stellaris: Federations
  • Shadowrun Returns
  • Shadowrun: Dragonfall
  • Shadowrun: Hong Kong
  • Tyranny: Gold Edition
  • Tyranny - Bastards Wound
  • Pillars of Eternity
AI doesn't have any penalties that players have so I doubt it needs any more help.
If the AI doesn't have the penalty to tech cost that players do, why do I have 33 Engineering techs with +169 while the AI has 52 with +197? I'm working at a +604% penalty and have been running Physics grants pretty much the entire game while the AI is only at +498% and has been encouraging free thought (though to be fair I have the materialist unique building to make up for my physics grants). When you add in their higher engineering production and their lower tech penalty, they have a 37% advantage on me and only 57% more techs than I do. If they weren't eating research costs six times the base, how could they be so close to be in number of technologies researched?

Never mind that there is not a single regular empire that is Superior or Overwhelming to me in tech: everyone is Equivalent or below (about half equivalent, half below). I get that I'm producing a lot of raw science, but during the game I've been eating costs four, five, six, and now seven times what the AI would be paying if it didn't have the penalty too, and my raw numbers are not that much higher than everyone else's.

I mean, did the devs say it somewhere? If they did I'd find it hard to believe for the reasons stated above, but at least I'd know who to ask about why my science was so competitive with the AI's.
 

suksas

Private
2 Badges
Jul 26, 2012
23
19
  • Crusader Kings II
  • 500k Club
If the AI doesn't have the penalty to tech cost that players do, why do I have 33 Engineering techs with +169 while the AI has 52 with +197? I'm working at a +604% penalty and have been running Physics grants pretty much the entire game while the AI is only at +498% and has been encouraging free thought (though to be fair I have the materialist unique building to make up for my physics grants). When you add in their higher engineering production and their lower tech penalty, they have a 37% advantage on me and only 57% more techs than I do. If they weren't eating research costs six times the base, how could they be so close to be in number of technologies researched?

Never mind that there is not a single regular empire that is Superior or Overwhelming to me in tech: everyone is Equivalent or below (about half equivalent, half below). I get that I'm producing a lot of raw science, but during the game I've been eating costs four, five, six, and now seven times what the AI would be paying if it didn't have the penalty too, and my raw numbers are not that much higher than everyone else's.

I mean, did the devs say it somewhere? If they did I'd find it hard to believe for the reasons stated above, but at least I'd know who to ask about why my science was so competitive with the AI's.
Been mentioned on steam. As it seems this is one of the reasons why 5planet AI empire can keep up in fleet power with 15planet one.
 

GC13

The Last Emperor of Sol
90 Badges
Dec 30, 2010
3.181
3.060
  • Cities: Skylines - After Dark
  • Cities: Skylines - Green Cities
  • Cities: Skylines - Parklife
  • Cities: Skylines - Mass Transit
  • Cities: Skylines - Natural Disasters
  • Cities: Skylines Industries
  • Cities: Skylines - Snowfall
  • Cities: Skylines - Campus
  • Cities: Skylines Deluxe Edition
  • Cities: Skylines
  • Victoria 2
  • Europa Universalis IV
  • Victoria 2: A House Divided
  • Victoria 2: Heart of Darkness
  • Sengoku
  • Crusader Kings II: Sunset Invasion
  • Stellaris
  • Stellaris: Synthetic Dawn
  • Stellaris - Path to Destruction bundle
  • Stellaris: Apocalypse
  • Stellaris: Megacorp
  • Stellaris: Federations
  • Shadowrun Returns
  • Shadowrun: Dragonfall
  • Shadowrun: Hong Kong
  • Tyranny: Gold Edition
  • Tyranny - Bastards Wound
  • Pillars of Eternity
Been mentioned on steam. As it seems this is one of the reasons why 5planet AI empire can keep up in fleet power with 15planet one.
Mentioned on Steam, as in on the Steam forums? Their information must have been incorrect.

Besides, who's having trouble competing with an empire a third their size?
 

Dalwin

Field Marshal
48 Badges
Aug 11, 2003
11.303
6.150
Visit site
  • Hearts of Iron IV: Expansion Pass
  • Stellaris
  • Hearts of Iron IV Sign-up
  • Hearts of Iron IV: Cadet
  • Stellaris: Leviathans Story Pack
  • Hearts of Iron IV: Together for Victory
  • Stellaris - Path to Destruction bundle
  • Hearts of Iron IV: Death or Dishonor
  • Stellaris: Synthetic Dawn
  • Age of Wonders III
  • Hearts of Iron IV: Expansion Pass
  • Shadowrun Returns
  • Knights of Pen and Paper 2
  • Stellaris: Ancient Relics
  • Age of Wonders: Planetfall
  • Age of Wonders: Planetfall Sign Up
  • Stellaris: Lithoids
  • Age of Wonders: Planetfall - Revelations
  • Stellaris: Federations
  • Battle for Bosporus
  • Stellaris: Necroids
  • Stellaris: Nemesis
  • Hearts of Iron IV: By Blood Alone
  • Hearts of Iron IV: No Step Back
  • Magicka
  • Commander: Conquest of the Americas
  • Darkest Hour
  • Diplomacy
  • Europa Universalis III
  • Europa Universalis IV
  • Europa Universalis IV: Conquest of Paradise
  • For the Motherland
  • Hearts of Iron III
  • Knights of Pen and Paper +1 Edition
  • Leviathan: Warships
  • Lost Empire - Immortals
  • Crusader Kings II
  • March of the Eagles
  • Rome Gold
  • Semper Fi
  • Sengoku
  • Supreme Ruler 2020
  • Victoria 2
  • Rome: Vae Victis
  • Warlock: Master of the Arcane
  • Warlock 2: The Exiled
  • 500k Club
  • Pride of Nations
Mentioned on Steam, as in on the Steam forums? Their information must have been incorrect.

Besides, who's having trouble competing with an empire a third their size?
I would say it matters whether it was mentioned by a Steam user or by someone from Paradox, wouldn't you? The Steam forums are not inherently less accurate than this one.
 
  • 2
Reactions:

Praetori

High-Command Scapegoat
81 Badges
Aug 6, 2009
2.869
2.100
  • 500k Club
  • Hearts of Iron IV: By Blood Alone
It might perhaps work with changes in research itself instead of just fiddling with planets and pop mechanics. More "rare" techs and more tier-jumping as opposed to more advanced variants of already existing techs due to "stagnancy" in larger empires research programs.

For example if you have a huge empire then the military and decision-makers there become a bit complacent about their currently "winning design" and thus instead of inventing radical plasma cannon X the incentive is to get an improvement of the already existing lasercannon +1 instead. The smaller empire with need born from necessity instead gets a higher chance to roll a rare tech or to jump to a more advanced weapon-type when it comes to new options.

It would in any case be nice to have a difference between improvements and miniaturization on one end of the research scale and radical new designs/approaches on the other.

Just a thought tho.