• We have updated our Community Code of Conduct. Please read through the new rules for the forum that are an integral part of Paradox Interactive’s User Agreement.

goodcigar

Lt. General
94 Badges
Nov 24, 2020
1.621
3.155
  • Crusader Kings II: Conclave
  • Victoria 2: A House Divided
  • Victoria 2: Heart of Darkness
  • Rome: Vae Victis
  • Warlock: Master of the Arcane
  • Europa Universalis IV: El Dorado
  • Europa Universalis IV: Pre-order
  • Pride of Nations
  • Crusader Kings II: Way of Life
  • Pillars of Eternity
  • Europa Universalis IV: Common Sense
  • Crusader Kings II: Horse Lords
  • Europa Universalis IV: Cossacks
  • Victoria 2
  • Europa Universalis IV: Mare Nostrum
  • Stellaris
  • Stellaris: Galaxy Edition
  • Hearts of Iron IV: Cadet
  • Hearts of Iron IV: Colonel
  • Crusader Kings II: Reapers Due
  • Europa Universalis IV: Rights of Man
  • Stellaris: Digital Anniversary Edition
  • Stellaris: Leviathans Story Pack
  • Hearts of Iron IV: Together for Victory
  • Crusader Kings II: Monks and Mystics
  • Hearts of Iron IV: No Step Back
  • Europa Universalis IV: Call to arms event
  • Crusader Kings II: Charlemagne
  • Crusader Kings II: Legacy of Rome
  • Crusader Kings II: The Old Gods
  • Crusader Kings II: Rajas of India
  • Crusader Kings II: The Republic
  • Crusader Kings II: Sons of Abraham
  • Crusader Kings II: Sunset Invasion
  • Crusader Kings II: Sword of Islam
  • Europa Universalis IV
  • Europa Universalis IV: Art of War
  • Europa Universalis IV: Conquest of Paradise
  • Europa Universalis IV: Wealth of Nations
  • Crusader Kings II
  • For the Motherland
  • Hearts of Iron III
  • Hearts of Iron III: Their Finest Hour
  • King Arthur II
  • March of the Eagles
  • Europa Universalis IV: Res Publica
  • Victoria: Revolutions
  • Rome Gold
  • Semper Fi
  • Sengoku
I have question about naval gunfire. I wonder how to build most powerful Battleship. And I wonder what penalty is for Heavy Gun when attack non-Capital ship? And I wonder what penalty is when Light Gun attack Capital ship? It make sense to me for big Heavy Gun to have trouble hitting small ship. But small Light Gun should be able to hit big Capital ship no problem. I think.

Also, what gun best at shooting Convoy? I wonder how to build surface ship Convoy raider.

Also I wonder when airplane attack Fleet, what ship does get attacked first? Does airplane attack randomly? All ship equally? Most expensive ship?

Also I wonder, does all anti-air guns on ships combine and protect all ships? Like in real life.
 
  • 2Like
Reactions:

BeauNiddle

Lt. General
78 Badges
Oct 5, 2011
1.396
2.969
  • Stellaris: Galaxy Edition
  • Semper Fi
  • Europa Universalis IV: Res Publica
  • Tyranny: Gold Edition
  • Victoria 2: A House Divided
  • Leviathan: Warships
  • Victoria 2: Heart of Darkness
  • Heir to the Throne
  • Hearts of Iron III: Their Finest Hour
  • Hearts of Iron III
  • For the Motherland
  • Europa Universalis IV: Wealth of Nations
  • Europa Universalis IV: Conquest of Paradise
  • Divine Wind
  • Europa Universalis III Complete
  • Tyranny: Archon Edition
  • Tyranny: Archon Edition
  • Hearts of Iron IV: Colonel
  • Hearts of Iron IV: Cadet
  • Stellaris Sign-up
  • Hearts of Iron IV Sign-up
  • Hearts of Iron IV: Together for Victory
  • Stellaris: Digital Anniversary Edition
  • Stellaris: Leviathans Story Pack
  • 500k Club
  • Shadowrun: Dragonfall
  • BATTLETECH
  • Surviving Mars
  • Hearts of Iron IV: Death or Dishonor
  • Shadowrun Returns
  • Age of Wonders III
  • Tyranny - Bastards Wound
  • Europa Universalis III Complete
  • Hearts of Iron IV: No Step Back
  • Stellaris: Distant Stars
  • Stellaris: Apocalypse
  • Stellaris: Humanoids Species Pack
  • Europa Universalis IV
  • Shadowrun: Hong Kong
  • BATTLETECH - Digital Deluxe Edition
  • Europa Universalis III Complete
  • Hearts of Iron IV: Expansion Pass
  • Stellaris: Galaxy Edition
  • Victoria 2
  • Surviving Mars: Digital Deluxe Edition
  • Europa Universalis IV: El Dorado
  • Pillars of Eternity
  • Europa Universalis IV: Common Sense
  • Europa Universalis IV: Cossacks
  • Europa Universalis IV: Mare Nostrum
As already mentioned you should check the wiki for details, but rough answers to your questions would be:

I have question about naval gunfire. I wonder how to build most powerful Battleship. And I wonder what penalty is for Heavy Gun when attack non-Capital ship? And I wonder what penalty is when Light Gun attack Capital ship? It make sense to me for big Heavy Gun to have trouble hitting small ship. But small Light Gun should be able to hit big Capital ship no problem. I think.

There are targeting calculations made depending on the size (visibility) the speed of the target. Big guns are less likely to hit screens but do a lot of damage if they hit. Light guns can easily target big ships (as long as there are no screens blocking them) but can't penetrate the big ships armour (although they can get lucky with crits)

Also, what gun best at shooting Convoy? I wonder how to build surface ship Convoy raider.

Best weapon vs convoys are torpedoes - lots of damage and convoys are easy to hit. A surface raider is going to have to fight the escort fleet so a lot of light guns and enough torpedoes to sink a convoy ship in one volley. Light cruisers are viable or a heavy cruiser with one heavy gun to make it a capital (so it gets screening bonus) and then lots of light guns.

Also I wonder when airplane attack Fleet, what ship does get attacked first? Does airplane attack randomly? All ship equally? Most expensive ship?

There are targeting rules in the wiki - basically carriers first, heavy ships next then lights. Once a type of ship is chosen they attack the target with the least AA.

Also I wonder, does all anti-air guns on ships combine and protect all ships? Like in real life.

In defence you get to use 20% of the fleets AA. So lots of fleet AA is good but lots and lots of AA on the target is better.



It is worth mentioning big guns can attack the first two ranks, light guns can only attack the first rank. [ranks with out any ships in don't count]. Torpedoes are blocked by screens. This means killing the enemies screens is often the best solution to combat since it allows all ships to fire without penalty rather than building super gun loadouts to try and 'snipe' the enemy big ships. Especially against AI fleets where they don't replace screens fast enough.

Speed and low visibility are your best defence. Loading your capital ships down with maximum guns can be a bad idea since it also slows the ship down (at least until you get level 4 engines)
 
  • 5
  • 2Like
Reactions:

Mister Analyst

Lt. General
80 Badges
Jul 27, 2018
1.249
1.596
  • Hearts of Iron IV: Cadet
  • Hearts of Iron IV: Colonel
  • Hearts of Iron IV: Together for Victory
  • Hearts of Iron IV: Death or Dishonor
  • Hearts of Iron IV: Expansion Pass
  • Hearts of Iron IV: Expansion Pass
  • Hearts of Iron IV: La Resistance
  • Battle for Bosporus
  • Hearts of Iron IV: No Step Back
  • Hearts of Iron IV: By Blood Alone
@goodcigar

As mentioned by others already, the wiki is a good source for details on naval combat.

For an overview on how naval combat is supposed to work, please see Man the Guns Developer Diary 23 - New Naval Combat. Some of the other Dev Diaries in the Man the Gun series are also well worth reading.
 
  • 3
Reactions:

goodcigar

Lt. General
94 Badges
Nov 24, 2020
1.621
3.155
  • Crusader Kings II: Conclave
  • Victoria 2: A House Divided
  • Victoria 2: Heart of Darkness
  • Rome: Vae Victis
  • Warlock: Master of the Arcane
  • Europa Universalis IV: El Dorado
  • Europa Universalis IV: Pre-order
  • Pride of Nations
  • Crusader Kings II: Way of Life
  • Pillars of Eternity
  • Europa Universalis IV: Common Sense
  • Crusader Kings II: Horse Lords
  • Europa Universalis IV: Cossacks
  • Victoria 2
  • Europa Universalis IV: Mare Nostrum
  • Stellaris
  • Stellaris: Galaxy Edition
  • Hearts of Iron IV: Cadet
  • Hearts of Iron IV: Colonel
  • Crusader Kings II: Reapers Due
  • Europa Universalis IV: Rights of Man
  • Stellaris: Digital Anniversary Edition
  • Stellaris: Leviathans Story Pack
  • Hearts of Iron IV: Together for Victory
  • Crusader Kings II: Monks and Mystics
  • Hearts of Iron IV: No Step Back
  • Europa Universalis IV: Call to arms event
  • Crusader Kings II: Charlemagne
  • Crusader Kings II: Legacy of Rome
  • Crusader Kings II: The Old Gods
  • Crusader Kings II: Rajas of India
  • Crusader Kings II: The Republic
  • Crusader Kings II: Sons of Abraham
  • Crusader Kings II: Sunset Invasion
  • Crusader Kings II: Sword of Islam
  • Europa Universalis IV
  • Europa Universalis IV: Art of War
  • Europa Universalis IV: Conquest of Paradise
  • Europa Universalis IV: Wealth of Nations
  • Crusader Kings II
  • For the Motherland
  • Hearts of Iron III
  • Hearts of Iron III: Their Finest Hour
  • King Arthur II
  • March of the Eagles
  • Europa Universalis IV: Res Publica
  • Victoria: Revolutions
  • Rome Gold
  • Semper Fi
  • Sengoku
There are targeting calculations made depending on the size (visibility) the speed of the target. Big guns are less likely to hit screens but do a lot of damage if they hit. Light guns can easily target big ships (as long as there are no screens blocking them) but can't penetrate the big ships armour (although they can get lucky with crits)

Best weapon vs convoys are torpedoes - lots of damage and convoys are easy to hit. A surface raider is going to have to fight the escort fleet so a lot of light guns and enough torpedoes to sink a convoy ship in one volley. Light cruisers are viable or a heavy cruiser with one heavy gun to make it a capital (so it gets screening bonus) and then lots of light guns.

There are targeting rules in the wiki - basically carriers first, heavy ships next then lights. Once a type of ship is chosen they attack the target with the least AA.

In defence you get to use 20% of the fleets AA. So lots of fleet AA is good but lots and lots of AA on the target is better.

It is worth mentioning big guns can attack the first two ranks, light guns can only attack the first rank. [ranks with out any ships in don't count]. Torpedoes are blocked by screens. This means killing the enemies screens is often the best solution to combat since it allows all ships to fire without penalty rather than building super gun loadouts to try and 'snipe' the enemy big ships. Especially against AI fleets where they don't replace screens fast enough.

Speed and low visibility are your best defence. Loading your capital ships down with maximum guns can be a bad idea since it also slows the ship down (at least until you get level 4 engines)

How much is penalty for big gun shooting at small ship? I want to build Panzerschiff surface raider. It has very long range. But no screen ship have long range so how to screen it?

Why come only 20% of Fleet anti-air work? That not seem right. That seem very bad. 80% of Fleet AA not work? That not make sense.

Also:
I think I find maybe bug. I just notice something strange with my Task Forces doing spotting mission. I have one very good custom build spotting ship in Task Force 1. I have 5 ships in another Task Force 2 doing spotting mission.

And it seem like Task Force 1 is much better at spotting than Task Force 2. I add up all the surface detection number and Task Force 2 should be much better do spotting than Task Force 1. This not make sense. I think something is wrong with game math.

Task Force 2 has 5x more ship. And has more total surface detection. So it should be much much better than Task Force 1 at spotting mission.
 

BeauNiddle

Lt. General
78 Badges
Oct 5, 2011
1.396
2.969
  • Stellaris: Galaxy Edition
  • Semper Fi
  • Europa Universalis IV: Res Publica
  • Tyranny: Gold Edition
  • Victoria 2: A House Divided
  • Leviathan: Warships
  • Victoria 2: Heart of Darkness
  • Heir to the Throne
  • Hearts of Iron III: Their Finest Hour
  • Hearts of Iron III
  • For the Motherland
  • Europa Universalis IV: Wealth of Nations
  • Europa Universalis IV: Conquest of Paradise
  • Divine Wind
  • Europa Universalis III Complete
  • Tyranny: Archon Edition
  • Tyranny: Archon Edition
  • Hearts of Iron IV: Colonel
  • Hearts of Iron IV: Cadet
  • Stellaris Sign-up
  • Hearts of Iron IV Sign-up
  • Hearts of Iron IV: Together for Victory
  • Stellaris: Digital Anniversary Edition
  • Stellaris: Leviathans Story Pack
  • 500k Club
  • Shadowrun: Dragonfall
  • BATTLETECH
  • Surviving Mars
  • Hearts of Iron IV: Death or Dishonor
  • Shadowrun Returns
  • Age of Wonders III
  • Tyranny - Bastards Wound
  • Europa Universalis III Complete
  • Hearts of Iron IV: No Step Back
  • Stellaris: Distant Stars
  • Stellaris: Apocalypse
  • Stellaris: Humanoids Species Pack
  • Europa Universalis IV
  • Shadowrun: Hong Kong
  • BATTLETECH - Digital Deluxe Edition
  • Europa Universalis III Complete
  • Hearts of Iron IV: Expansion Pass
  • Stellaris: Galaxy Edition
  • Victoria 2
  • Surviving Mars: Digital Deluxe Edition
  • Europa Universalis IV: El Dorado
  • Pillars of Eternity
  • Europa Universalis IV: Common Sense
  • Europa Universalis IV: Cossacks
  • Europa Universalis IV: Mare Nostrum
How much is penalty for big gun shooting at small ship? I want to build Panzerschiff surface raider. It has very long range. But no screen ship have long range so how to screen it?

Why come only 20% of Fleet anti-air work? That not seem right. That seem very bad. 80% of Fleet AA not work? That not make sense.

Also:
I think I find maybe bug. I just notice something strange with my Task Forces doing spotting mission. I have one very good custom build spotting ship in Task Force 1. I have 5 ships in another Task Force 2 doing spotting mission.

And it seem like Task Force 1 is much better at spotting than Task Force 2. I add up all the surface detection number and Task Force 2 should be much better do spotting than Task Force 1. This not make sense. I think something is wrong with game math.

Task Force 2 has 5x more ship. And has more total surface detection. So it should be much much better than Task Force 1 at spotting mission.

The penalty isn't massive but if you're making panzerschiff then it might be worth putting light guns on it do deal with screens rather than hope the big guns get lucky. (I've never used them so can't give precise suggestions)

20% of AA since the attacking planes will pick a route to avoid as many ships as possible. Remember fleets don't sail in a compact group - they are quite spread out. Thus planes will only go near a small number of other shops on the way to the target.

spotting for the fleet is the best spotting value of the ships in the fleet NOT a sum of the spotting of the fleet. This has been complained about before. I think the argument was the fleet would be in formation therefore they are all searching the 'same' area thus only the best spotting counts. I don't think that was an official justification tho just talk on the forum.
 

Harin

General
53 Badges
Jun 8, 2012
1.800
4.035
  • Crusader Kings II
  • Hearts of Iron IV: By Blood Alone
  • Battle for Bosporus
  • BATTLETECH
  • Hearts of Iron IV: Death or Dishonor
  • Stellaris: Synthetic Dawn
  • Age of Wonders III
  • Hearts of Iron IV: Expansion Pass
  • Stellaris: Humanoids Species Pack
  • Stellaris: Apocalypse
  • Hearts of Iron IV: Expansion Pass
  • Stellaris: Distant Stars
  • Shadowrun Returns
  • Imperator: Rome
  • Hearts of Iron IV: Expansion Pass
  • Stellaris: Ancient Relics
  • Age of Wonders: Planetfall
  • Age of Wonders: Planetfall Deluxe edition
  • Age of Wonders: Planetfall Premium edition
  • Age of Wonders: Planetfall Season pass
  • Stellaris: Lithoids
  • Age of Wonders: Planetfall - Revelations
  • Hearts of Iron IV: La Resistance
  • Stellaris: Federations
  • Imperator: Rome - Magna Graecia
  • Crusader Kings III
  • Stellaris: Leviathans Story Pack
  • Europa Universalis IV
  • Hearts of Iron IV: No Step Back
  • Victoria 2
  • Warlock: Master of the Arcane
  • 500k Club
  • Cities: Skylines
  • Pride of Nations
  • Mount & Blade: With Fire and Sword
  • Europa Universalis IV: Common Sense
  • Stellaris
  • Hearts of Iron IV: Cadet
  • Hearts of Iron IV: Colonel
  • Europa Universalis IV: Rights of Man
  • Tyranny: Archon Edition
  • Stellaris: Digital Anniversary Edition
  • Hearts of Iron IV: Together for Victory
  • Victoria 2: Heart of Darkness
  • Victoria 2: A House Divided
  • Supreme Ruler 2020
  • Sword of the Stars
  • Europa Universalis IV: Wealth of Nations
  • Europa Universalis IV: Conquest of Paradise
  • Europa Universalis IV: Art of War
How much is penalty for big gun shooting at small ship? I want to build Panzerschiff surface raider. It has very long range. But no screen ship have long range so how to screen it?

Why come only 20% of Fleet anti-air work? That not seem right. That seem very bad. 80% of Fleet AA not work? That not make sense.

Also:
I think I find maybe bug. I just notice something strange with my Task Forces doing spotting mission. I have one very good custom build spotting ship in Task Force 1. I have 5 ships in another Task Force 2 doing spotting mission.

And it seem like Task Force 1 is much better at spotting than Task Force 2. I add up all the surface detection number and Task Force 2 should be much better do spotting than Task Force 1. This not make sense. I think something is wrong with game math.

Task Force 2 has 5x more ship. And has more total surface detection. So it should be much much better than Task Force 1 at spotting mission.

You did very good to notice this, but unfortunately it is working as intended. Spotting is an average of all the ships spotting ability. This means one ship with good spotting will outperform five ships whose average spotting value is lower.
 

bitmode

1st Reverse Engineer Battalion
Nov 10, 2016
3.824
7.024
How much is penalty for big gun shooting at small ship?
It does not just depend on the size of the enemy ship (visibility) but also its speed. For instance a destroyer has 10 visibility and about 40 speed. Combining those produces a hit profile of 100 * 10 / 40 = 25. This results in a 30% modifier for light guns (25²/45²) and 9.8% modifier for heavy guns (25²/80²), three times worse. Here is the chart from the wiki:
Hit_profile_multiplier.png
 
  • 4
Reactions:

DicRoNero

Oberst
27 Badges
May 13, 2013
1.913
1.066
  • Hearts of Iron IV: La Resistance
  • Hearts of Iron IV: Expansion Pass
  • Hearts of Iron IV: Colonel
If only we had stats like range and accuracy...

When I think of it, and also that the next DLC will most likely be land (?!) focused, I'm almost literally crying in despair.
 
  • 3Like
  • 1
Reactions:

goodcigar

Lt. General
94 Badges
Nov 24, 2020
1.621
3.155
  • Crusader Kings II: Conclave
  • Victoria 2: A House Divided
  • Victoria 2: Heart of Darkness
  • Rome: Vae Victis
  • Warlock: Master of the Arcane
  • Europa Universalis IV: El Dorado
  • Europa Universalis IV: Pre-order
  • Pride of Nations
  • Crusader Kings II: Way of Life
  • Pillars of Eternity
  • Europa Universalis IV: Common Sense
  • Crusader Kings II: Horse Lords
  • Europa Universalis IV: Cossacks
  • Victoria 2
  • Europa Universalis IV: Mare Nostrum
  • Stellaris
  • Stellaris: Galaxy Edition
  • Hearts of Iron IV: Cadet
  • Hearts of Iron IV: Colonel
  • Crusader Kings II: Reapers Due
  • Europa Universalis IV: Rights of Man
  • Stellaris: Digital Anniversary Edition
  • Stellaris: Leviathans Story Pack
  • Hearts of Iron IV: Together for Victory
  • Crusader Kings II: Monks and Mystics
  • Hearts of Iron IV: No Step Back
  • Europa Universalis IV: Call to arms event
  • Crusader Kings II: Charlemagne
  • Crusader Kings II: Legacy of Rome
  • Crusader Kings II: The Old Gods
  • Crusader Kings II: Rajas of India
  • Crusader Kings II: The Republic
  • Crusader Kings II: Sons of Abraham
  • Crusader Kings II: Sunset Invasion
  • Crusader Kings II: Sword of Islam
  • Europa Universalis IV
  • Europa Universalis IV: Art of War
  • Europa Universalis IV: Conquest of Paradise
  • Europa Universalis IV: Wealth of Nations
  • Crusader Kings II
  • For the Motherland
  • Hearts of Iron III
  • Hearts of Iron III: Their Finest Hour
  • King Arthur II
  • March of the Eagles
  • Europa Universalis IV: Res Publica
  • Victoria: Revolutions
  • Rome Gold
  • Semper Fi
  • Sengoku
20% of AA since the attacking planes will pick a route to avoid as many ships as possible. Remember fleets don't sail in a compact group - they are quite spread out. Thus planes will only go near a small number of other shops on the way to the target.

That not true. Fleets always stay in close formation to protect each other. That what the Americans did everywhere and why they had Light Cruiser with a million anti-air gun on them. To protect ships inside formation. When Japan airplane attack US Task Force it was almost suicide because of all anti-air gun coverage. Especially when only a small number of airplane attack or they come from only one direction.

When all ships are together in formation they should all protect each other with high level of anti-air coverage. When ship not together in formation then they can not protect each other. If enemy attack with high number of airplane then anti-air become less effective. The more airplane attack the less concentrate anti-air fire can be. More airplane targets = less effective anti-air because there too many targets. If airplane attack from multiple direction that also make anti-air less effective because you can not concentrate fire.
 
  • 1
  • 1
Reactions:

Diakonen

Second Lieutenant
21 Badges
Aug 10, 2018
154
162
  • Hearts of Iron IV: Cadet
  • Hearts of Iron IV: No Step Back
  • Hearts of Iron IV: By Blood Alone
  • Battle for Bosporus
  • Hearts of Iron IV: La Resistance
  • Hearts of Iron IV: Expansion Pass
  • Hearts of Iron IV: Expansion Pass
  • Hearts of Iron IV: Expansion Pass
  • Hearts of Iron IV: Death or Dishonor
  • Hearts of Iron IV: Together for Victory
  • Hearts of Iron IV: Colonel
  • Stellaris
  • Mount & Blade: With Fire and Sword
  • Victoria 2
  • Europa Universalis IV
  • Crusader Kings II
  • Semper Fi
  • Hearts of Iron III Collection
  • Hearts of Iron III: Their Finest Hour
  • Hearts of Iron III
  • For the Motherland
My favorite Surface Raider is a BC with 1 Big Gun and a few light guns. Min/max for speed. Pair up with 3 CL with good spotting. Convoys/Destroyers dont have a chance. Retreat is only needed when facing CV/BB.
 
  • 2
Reactions:

KDEstroy

Captain
38 Badges
Feb 23, 2018
499
446
  • Stellaris: Distant Stars
  • Steel Division: Normandy 44
  • Europa Universalis IV: Mandate of Heaven
  • Surviving Mars
  • Hearts of Iron IV: Death or Dishonor
  • Stellaris: Synthetic Dawn
  • Hearts of Iron IV: Expansion Pass
  • Stellaris: Humanoids Species Pack
  • Stellaris: Apocalypse
  • Europa Universalis IV: Rule Britannia
  • Stellaris - Path to Destruction bundle
  • Europa Universalis IV: Dharma
  • Stellaris: Megacorp
  • Hearts of Iron IV: Expansion Pass
  • Stellaris: Ancient Relics
  • Hearts of Iron IV: La Resistance
  • Stellaris: Federations
  • Stellaris: Nemesis
  • Hearts of Iron IV: No Step Back
  • Hearts of Iron IV: Together for Victory
  • Europa Universalis IV
  • Victoria 2
  • Europa Universalis IV: El Dorado
  • Europa Universalis IV: Common Sense
  • Europa Universalis IV: Cossacks
  • Stellaris
  • Hearts of Iron IV: Cadet
  • Europa Universalis IV: Rights of Man
  • Stellaris: Digital Anniversary Edition
  • Stellaris: Leviathans Story Pack
  • Victoria 2: Heart of Darkness
  • Victoria 2: A House Divided
  • Europa Universalis IV: Res Publica
  • Europa Universalis IV: Wealth of Nations
  • Europa Universalis IV: Conquest of Paradise
  • Europa Universalis IV: Art of War
  • Crusader Kings II
  • Darkest Hour
If only we had stats like range and accuracy...

When I think of it, and also that the next DLC will most likely be land (?!) focused, I'm almost literally crying in despair.


There is a stat for accuracy. However it is entirely dependent on the weapon type, and cannot be modified, except by building a different class of ship. The lack of range simulation really hurts carriers though, as the range of naval bombers is the same as BB guns which is ridiculous.
 
  • 3Like
Reactions:

brainiac1530

Captain
Dec 21, 2013
378
714
There is actually a naval hit chance modifier. Very few things affect it, though. Screening efficiency, for capital ships, and your admiral's coordination skill, are the only ones that come to mind. Admittedly, it would be rather difficult to balance given the particular way that hit chance interacts with the hit profile-based evasion. Once again, the devs making things harder on themselves for no immediately apparent reason. It's not clear, at least to me, why the hit profile-based evasion is quadratic. The intuitive assumption would be that a 20% reduction in visibility would be a 20% reduction in the chance of being hit, but it's actually 36% ... assuming you were already in the unclamped area of the graph. I think that having fire control improve the chance to hit could be a nice benefit, and the tech for bracket shooting and such could have been implemented that way too. The problem is, the way things are right now, hit chance punishes big easy targets, like early battleships, too much, while not affecting smaller, faster targets nearly as much.
 
  • 2
Reactions:

xtfoster

Field Marshal
57 Badges
Feb 8, 2006
5.874
2.209
  • Shadowrun Returns
  • Surviving Mars
  • Hearts of Iron IV: Death or Dishonor
  • Stellaris: Synthetic Dawn
  • Tyranny - Tales from the Tiers
  • Tyranny - Bastards Wound
  • Age of Wonders III
  • Hearts of Iron IV: Expansion Pass
  • Stellaris: Humanoids Species Pack
  • Stellaris: Apocalypse
  • BATTLETECH - Digital Deluxe Edition
  • Hearts of Iron IV: Expansion Pass
  • Stellaris: Distant Stars
  • BATTLETECH
  • Shadowrun: Dragonfall
  • Shadowrun: Hong Kong
  • BATTLETECH: Flashpoint
  • Stellaris: Megacorp
  • Hearts of Iron IV: Expansion Pass
  • Stellaris: Ancient Relics
  • BATTLETECH: Season pass
  • Age of Wonders: Planetfall Sign Up
  • Stellaris: Lithoids
  • BATTLETECH: Heavy Metal
  • Hearts of Iron IV: La Resistance
  • Hearts of Iron IV: No Step Back
  • Stellaris: Galaxy Edition
  • Deus Vult
  • Europa Universalis III
  • For the Motherland
  • Hearts of Iron III
  • Hearts of Iron III: Their Finest Hour
  • Majesty 2
  • Europa Universalis III Complete
  • Semper Fi
  • Supreme Ruler 2020
  • 500k Club
  • Hearts of Iron II: Beta
  • Stellaris
  • Hearts of Iron II: Armageddon
  • Stellaris: Galaxy Edition
  • Hearts of Iron IV Sign-up
  • Stellaris Sign-up
  • Hearts of Iron IV: Cadet
  • Tyranny: Archon Edition
  • Tyranny: Archon Edition
  • Tyranny: Gold Edition
  • Stellaris: Digital Anniversary Edition
  • Stellaris: Leviathans Story Pack
  • Hearts of Iron IV: Expansion Pass
Why come only 20% of Fleet anti-air work? That not seem right. That seem very bad. 80% of Fleet AA not work? That not make sense.
ALL of the AA on the ship being attacked works. 20% of the AA on EVERY OTHER ship in the fleet also assists the ship being attacked.
 
  • 2Like
Reactions:

brainiac1530

Captain
Dec 21, 2013
378
714
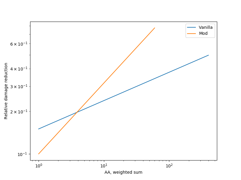
The 20% multiplier is barely even a concern. The real killer is the 0.2 exponent, creating diminishing returns that are hard to appreciate, much less intuit. Let's have a look at some graphs, and maybe you'll see what I mean.

AA.png
AA2.png


I included a graph with linear scaling for completeness, and since that's what most people are used to seeing, even though the minimum and maximum of the range are so far apart as to render it functionally unreadable. You're free to interpret the graphed data as you see fit, but these are the conclusions I came to.

1) A trivial investment in AA gets you about as much damage reduction as you're going to get. 15% only requires a single point of AA, which could easily be provided by other ships in the fleet, even for a ship with no AA of its own. Getting 25% only requires around 13 AA. A heavy ship with 3x DP secondaries and AA in the fixed slot has more AA than this on its own.
2) Getting a really impactful amount of damage reduction requires a stupendous investment of naval IC and is probably never going to occur in an actual game. Getting to the cap of 50% reduction requires a weighted AA sum of over 400! Since a single ship can barely put a dent in that sum, you can basically ignore it and say you'd need around 2000 total AA in the fleet. I'd like to put a cost to that, but keep in mind that my game is heavily modded. Even so, I'm looking at approximately 120,000 to 300,000 naval IC to get to that, using a gimmick AA destroyer, or a general-purpose destroyer design I'm actually using, respectively. You can consider this to be a "hopelessly optimistic" estimate, as I'm pretty sure you can't get results like this in vanilla. In my game, the U.S. has 80 naval dockyards. (I think this may be an explicit goal for them in Expert AI.) At the base NIC rate of 2.5/dockyard, that would take them 600-1500 days of production to produce.
 
  • 4
  • 3Like
Reactions:

Caeric

Major
50 Badges
Aug 22, 2019
613
972
  • Hearts of Iron IV: Expansion Pass
  • Stellaris: Synthetic Dawn
  • Age of Wonders III
  • Europa Universalis IV: Cradle of Civilization
  • Hearts of Iron IV: Expansion Pass
  • Stellaris: Humanoids Species Pack
  • Stellaris: Apocalypse
  • Europa Universalis IV: Rule Britannia
  • Hearts of Iron IV: Expansion Pass
  • Stellaris: Distant Stars
  • Europa Universalis IV: Dharma
  • Stellaris: Megacorp
  • Europa Universalis IV: Golden Century
  • Hearts of Iron IV: Death or Dishonor
  • Prison Architect
  • Stellaris: Ancient Relics
  • Stellaris: Lithoids
  • Hearts of Iron IV: La Resistance
  • Stellaris: Federations
  • Battle for Bosporus
  • Europa Universalis 4: Emperor
  • Stellaris: Necroids
  • Stellaris: Nemesis
  • Hearts of Iron IV: By Blood Alone
  • Hearts of Iron IV: No Step Back
  • Stellaris
  • Europa Universalis IV
  • Europa Universalis IV: Art of War
  • Europa Universalis IV: Call to arms event
  • Europa Universalis IV: Res Publica
  • Cities: Skylines
  • Europa Universalis IV: El Dorado
  • Europa Universalis IV: Common Sense
  • Europa Universalis IV: Cossacks
  • Europa Universalis IV: Mare Nostrum
  • Stellaris: Galaxy Edition
  • Stellaris: Galaxy Edition
  • Hearts of Iron IV: Cadet
  • Hearts of Iron IV: Colonel
  • Europa Universalis IV: Rights of Man
  • Stellaris: Digital Anniversary Edition
  • Stellaris: Leviathans Story Pack
  • Hearts of Iron IV: Together for Victory
  • Stellaris - Path to Destruction bundle
  • Europa Universalis IV: Mandate of Heaven
  • Europa Universalis IV: Third Rome
  • Crusader Kings II
  • Cities: Skylines Deluxe Edition
  • Europa Universalis IV: Wealth of Nations
  • Europa Universalis IV: Conquest of Paradise
The 20% multiplier is barely even a concern. The real killer is the 0.2 exponent, creating diminishing returns that are hard to appreciate, much less intuit. Let's have a look at some graphs, and maybe you'll see what I mean.

View attachment 662978View attachment 662979

I included a graph with linear scaling for completeness, and since that's what most people are used to seeing, even though the minimum and maximum of the range are so far apart as to render it functionally unreadable. You're free to interpret the graphed data as you see fit, but these are the conclusions I came to.

1) A trivial investment in AA gets you about as much damage reduction as you're going to get. 15% only requires a single point of AA, which could easily be provided by other ships in the fleet, even for a ship with no AA of its own. Getting 25% only requires around 13 AA. A heavy ship with 3x DP secondaries and AA in the fixed slot has more AA than this on its own.
2) Getting a really impactful amount of damage reduction requires a stupendous investment of naval IC and is probably never going to occur in an actual game. Getting to the cap of 50% reduction requires a weighted AA sum of over 400! Since a single ship can barely put a dent in that sum, you can basically ignore it and say you'd need around 2000 total AA in the fleet. I'd like to put a cost to that, but keep in mind that my game is heavily modded. Even so, I'm looking at approximately 120,000 to 300,000 naval IC to get to that, using a gimmick AA destroyer, or a general-purpose destroyer design I'm actually using, respectively. You can consider this to be a "hopelessly optimistic" estimate, as I'm pretty sure you can't get results like this in vanilla. In my game, the U.S. has 80 naval dockyards. (I think this may be an explicit goal for them in Expert AI.) At the base NIC rate of 2.5/dockyard, that would take them 600-1500 days of production to produce.
That sounds like the way AA is counted is a bit bullshit then. A historically adequate AA suite should do the job, especially when grouped into a fleet.

Maybe adding AA modifiers to doctrines and a sizeable boost to the effect of fire control and radar could be increased to better simulate reality?
 

DicRoNero

Oberst
27 Badges
May 13, 2013
1.913
1.066
  • Hearts of Iron IV: La Resistance
  • Hearts of Iron IV: Expansion Pass
  • Hearts of Iron IV: Colonel
Let's not forget that the entire might of a modern battlefleet equipped with up to 460mm guns (and many more 127-128mm ones) firing special anti-air munitions with proximity fuses and aided by top-notch radar is only ever capable to bring down 100 planes max, while the surviving planes (provided numerous enough) easily dog-pile against any ship they want and insta-wipe it/her.

100 planes mean inflicting damage worth of 3'000 MIC output (NAV III), while i.e. 1 SHBB instawiped is around 20'000 NIC output wasted, and using 2:1 conversion ratio (MIC/NIC base difference magnified by tech) we come to realization that such a firepower trade is 13:1 in favor of planes. That's of course with both parties going all-out, but for your everyday fleet that trade is unlikely to be that much better as you don't down 100 planes each time either.

Historically, they were unable to bomb a freaking CITY in one wave using that many planes (i.e. 500-1000) at once. How on earth the damage output of planes is linearly scaled up and is always concenrtrated against a single (!) moving (!!) ship (!!!) - that is a total mistery for me.

edit: I see them launching a collaboration with World of Warships. LMAO. They would've been far better off doing that with War Thunder to actually allow every wannabe-bombist to attack an Anti-Air'ed BB with his bare arse.
 
Last edited:
  • 3Like
  • 1
Reactions:

brainiac1530

Captain
Dec 21, 2013
378
714
Maybe adding AA modifiers to doctrines and a sizeable boost to the effect of fire control and radar could be increased to better simulate reality?
I'm not sure that increasing the amount of AA you get, for a given investment of IC, fixes this. Or at least, it doesn't do it without significant side effects. Raising the raw AA numbers also increases the number of planes shot down. To an extent, some of this is desirable, but in practice the sheer absurdity of the imbalance of IC when bombing ships requires something more, else you have to shoot down so many planes that people start wondering how this would even be possible with WW2 tech. There's a real danger of breaking the appearance of simulation for some people.

If the problems with AA-based damage reduction are that a trivial investment in AA is too effective, and that impactful amounts of AA are functionally and/or completely unobtainable, then a solution could be found entirely in the defines.
1) Reduce the coefficient, ANTI_AIR_MULT_ON_INCOMING_AIR_DAMAGE
2) Increase the exponent, ANTI_AIR_POW_ON_INCOMING_AIR_DAMAGE
3) Raise the damage reduction cap, MAX_ANTI_AIR_REDUCTION_EFFECT_ON_INCOMING_AIR_DAMAGE

AA_test.png

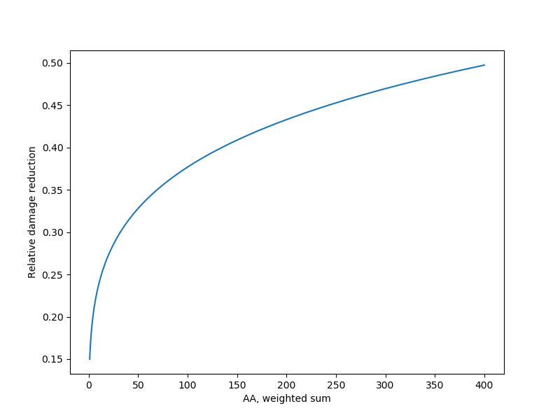
This is what it looks like when the coefficient is reduced to 0.1, the exponent increased to 0.5 (a square-root function), and the cap raised to 80%. With these particular values, the AA damage reduction cap of 80% requires a weighted AA sum of 64. A single ship really can put a dent in this, for one. That not-so-hypothetical heavy ship with 3x DP secondaries and AA3 would provide around 15 on its own, requiring only a total of about 200 from the rest of the fleet. A modern(ized) strike force should be able to muster this without resorting to gimmick ships, even without other game changes. (Admittedly, dual-purpose secondaries and lights are probably more expensive than they should be in vanilla, but it can be done.) 80% is a 5:1 reduction factor, which would make a deep impact on the currently outrageous returns of naval bombers. Of course, not every task force is going to have nearly this much. There are still patrols, surface raiders, or underdeveloped/depleted strike forces that wouldn't get nearly this much benefit, and submarines still have zero AA.

There's still some other things that could be experimented with. For example, screening efficiency (and/or capital ship screening efficiency for carriers) could provide an AA bonus. This would, of course, mostly only benefit proper battle fleets (and/or carrier escorts for the floating airfield concept.) As mentioned previously, any boost to AA values also results in more planes being shot down, so it should be done with care.

If I had access to the game code, I would change the whole form of the AA damage reduction calculation to one approaching 100% asymptotically, e.g. y = 1 - exp(-kx). To me, it makes sense that the value of a given percentage point of damage reduction increases asymptotically in this way, so that's the function I would have used, or something very much like it.

P.S. For those not familiar with log-log plots, it's no accident these functions look like lines here. The game's calculation for AA damage reduction is a power function, and power functions look like lines on log-log plots. Power functions have the form: y = b * x^m. If you apply a logarithm to both sides, that translates it to log(y) = m * log(x) + log(b). When you plot log-values, as on a log-log plot, that gives it the appearance of a line. The logic of lines also mostly applies. To raise or lower the function, increase or decrease the "intercept," which was the coefficient of the power function. To change its slope, alter the exponent.
 
Last edited:
  • 2
  • 1Like
Reactions: