How does splitting Conquered land between Estates and the Crown work?

  • We have updated our Community Code of Conduct. Please read through the new rules for the forum that are an integral part of Paradox Interactive’s User Agreement.

RMS Oceanic

General
49 Badges
Jan 27, 2014
2.476
3.629
  • Darkest Hour
  • Crusader Kings II
  • Magicka
  • Europa Universalis IV: Res Publica
  • Europa Universalis IV: Pre-order
  • Europa Universalis IV: Third Rome
  • Europa Universalis IV: Mandate of Heaven
  • Europa Universalis IV: Common Sense
  • Crusader Kings II: Horse Lords
  • Europa Universalis IV: Cossacks
  • Crusader Kings II: Conclave
  • Hearts of Iron IV: Cadet
  • Crusader Kings II: Reapers Due
  • Europa Universalis IV: Rights of Man
  • Hearts of Iron IV: Together for Victory
  • Crusader Kings II: Monks and Mystics
  • Europa Universalis IV: El Dorado
  • Hearts of Iron IV: Death or Dishonor
  • Europa Universalis IV: Cradle of Civilization
  • Crusader Kings II: Jade Dragon
  • Hearts of Iron IV: Expansion Pass
  • Europa Universalis IV: Rule Britannia
  • Europa Universalis IV: Dharma
  • Crusader Kings II: Holy Fury
  • Europa Universalis IV: Golden Century
  • Imperator: Rome
  • Europa Universalis 4: Emperor
  • Crusader Kings II: Way of Life
  • Europa Universalis III
  • Victoria 2
  • Europa Universalis III Complete
  • Europa Universalis III Complete
  • Europa Universalis III Complete
  • Europa Universalis IV
  • Europa Universalis IV: Call to arms event
  • Europa Universalis IV: Wealth of Nations
  • Europa Universalis IV: Conquest of Paradise
  • Crusader Kings II: Legacy of Rome
  • Crusader Kings II: The Old Gods
  • Crusader Kings II: Rajas of India
  • Crusader Kings II: The Republic
  • Crusader Kings II: Sons of Abraham
  • Crusader Kings II: Sunset Invasion
  • Crusader Kings II: Sword of Islam
  • Europa Universalis IV: Art of War
  • Crusader Kings II: Charlemagne
  • Europa Universalis IV: Mare Nostrum
  • Victoria 2: A House Divided
  • Victoria 2: Heart of Darkness
As the title says. Now according to the wiki:

Crownland can be gained by:

  1. Seizing land from estates: The seize land estate interaction can be used every 5 years and provides an instant 5% boost to crownland. The button is only available when a nation is not at war. All other estates lose 20% loyalty and share of controlled land in proportion to the existing amount they have. Since each estate loses 20% loyalty on seizing land, it is advisable to call a diet immediately before doing this. The extra 5% boost to loyalty will help prevent rebellions caused by any estate's loyalty dropping below 30%.
  2. Developing provinces
  3. Conquering land with less than 60% estate influence.
  4. Conquering land with high absolutism. When gaining development like through conquering land each estate will gain land relative to their influence compared to the rest of the estates. The crown's influence is calculated as a base of 50% absolutism.

So when my estates' influence are each below 60% I'd expect conquering land to not reduce crownland that much, but some larger wars completely undo my most recent seizure of land. Is there somewhere where the math is completely laid out and I can better anticipate the Crownland cost of a war instead of just crossing my fingers? It can be hard to plan for Absolutism when one aspect feels random. Or better yet, that might be a nice thing to add in a peace deal term, how much crownland it will cost (or award you? sometimes Reconquest wars seem to ignore this).

Two other crownland gripes:

- Annexing a subject can drastically affect my crownland, and again it's not clear why or by how much.
- When conquering land for a colony, even though that land is only in my possession for a single day, that counts as conquering it and lowers my crownland. The Concede Region peace deal is something of a poison pill in this regard, and if you're taking a large colony with it it once again can cost you several percent of crownland.

I think I'm less annoyed by losing crownland through conquest, and more frustrated that I'm unsure of the specific mechanics so I can play around it.
 
  • 6Like
Reactions:

Less2

Banned
Jan 20, 2016
3.737
5.036
From what I've seen the way it works is that your crownland isn't always lowered or raised. Rather it gets shifted towards a midpoint depending on estate influence. So on a certain influence level the ratio might trend towards 50% crown/50% estate. If you already have only 10% crownland then the 50% share you get of the new land moves you up towards 50%, while if you have 90% then the 50% share the estate gets trends you down to 50% crownland. I'm not sure if the amount moved is proportional to dev, dev compared to your total dev, or just a per province thing.

For this reason selling crownland down to 10% or even 0% is good early game since you regain it back on conquest even with max privileges. I've heard that absolutism also is counted in getting you a greater crownland share when you conquer but I don't really play that long in EU4 games so I don't have much experience with high absolutism.
 
  • 2Like
Reactions:

grotaclas

Field Marshal
54 Badges
Aug 7, 2019
5.037
4.588
  • Victoria 3 Sign Up
  • Battle for Bosporus
  • Hearts of Iron IV: Expansion Pass
  • Hearts of Iron IV: Expansion Pass
  • Hearts of Iron IV: Death or Dishonor
  • Hearts of Iron IV: Cadet
  • Europa Universalis IV
  • Europa Universalis IV: Call to arms event
  • Europa Universalis IV: Conquest of Paradise
  • Europa Universalis IV: Wealth of Nations
  • Europa Universalis IV: Res Publica
  • Europa Universalis IV: Art of War
  • Europa Universalis IV: El Dorado
  • Europa Universalis IV: Common Sense
  • Europa Universalis IV: Cossacks
  • Europa Universalis IV: Mare Nostrum
  • Europa Universalis IV: Rights of Man
  • Europa Universalis IV: Mandate of Heaven
  • Europa Universalis IV: Third Rome
  • Europa Universalis IV: Cradle of Civilization
  • Europa Universalis IV: Rule Britannia
  • Europa Universalis IV: Dharma
  • Europa Universalis IV: Golden Century
  • Europa Universalis 4: Emperor
  • Cities: Skylines
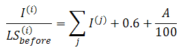
I don't have time for a long explanation, but the formula for the land share of the estate x after conquest is (crownland is what is left over):
crownland formula.png

dev_new is the newly conquered/integrated development (dev_after - dev_before). Influence and landShare are values between 0 and 1. Absolutism is not capped at 100. All the individual terms (including the influences of each estate) are truncated after the third decimal place. So a 19.502% land share becomes 0.19502 and then gets truncated to 0.195. The digits which have been truncated from the original land share are added again at the end, so they don't change due to conquest(at least I didn't find an example when they did).
I wanted to make a more detailed post about this, but I didn't find the time. And there might be some edge cases which I'm missing. But to be really sure that I didn't miss anything, I'd like to get some more examples from real games. Anybody who wants to help with that, could write down the following information for a few conquests/integrations (and make a copy of the save game before): influence and land share of each estate; absolutism(the uncapped value); development before the conquest/integration; newly aquired development. This can be entered in the following spreadsheet: https://docs.google.com/spreadsheets/d/1_lnTX2FNlT68Z9by0qhKOrZasDC1M56skh06HehTFpg/edit?usp=sharing
 
  • 11
  • 2Like
Reactions:

Battlex

Field Marshal
59 Badges
Apr 4, 2017
6.011
6.380
  • Crusader Kings II
  • Hearts of Iron IV: La Resistance
  • Europa Universalis IV: Cossacks
  • Crusader Kings II: Horse Lords
  • Europa Universalis IV: Common Sense
  • Crusader Kings II: Way of Life
  • Crusader Kings II: Conclave
  • Europa Universalis III: Collection
  • Stellaris
  • Hearts of Iron IV: Cadet
  • Victoria 2
  • Crusader Kings II: Reapers Due
  • Hearts of Iron IV: Expansion Pass
  • Europa Universalis IV: Rights of Man
  • Hearts of Iron IV: Together for Victory
  • Crusader Kings II: Monks and Mystics
  • Imperator: Rome Deluxe Edition
  • Europa Universalis IV: Golden Century
  • Crusader Kings II: Holy Fury
  • Europa Universalis 4: Emperor
  • Europa Universalis IV: Dharma
  • Europa Universalis IV: Rule Britannia
  • Crusader Kings III
  • Hearts of Iron IV: Expansion Pass
  • Imperator: Rome - Magna Graecia
  • Europa Universalis IV: Cradle of Civilization
  • Europa Universalis IV
  • Hearts of Iron IV: Death or Dishonor
  • Imperator: Rome
  • Europa Universalis IV: Mandate of Heaven
  • Battle for Bosporus
  • Rome: Vae Victis
  • Europa Universalis IV: Mare Nostrum
  • Europa Universalis IV: Conquest of Paradise
  • Crusader Kings II: Charlemagne
  • Crusader Kings II: Legacy of Rome
  • Crusader Kings II: Rajas of India
  • Crusader Kings II: The Republic
  • Crusader Kings II: Sunset Invasion
  • Crusader Kings II: Sword of Islam
  • Divine Wind
  • Europa Universalis IV: Art of War
  • Europa Universalis IV: Pre-order
  • Europa Universalis IV: Wealth of Nations
  • Heir to the Throne
  • Europa Universalis IV: Res Publica
  • Europa Universalis: Rome
  • Sengoku
  • Victoria 2: A House Divided
  • Victoria 2: Heart of Darkness
From what I've seen the way it works is that your crownland isn't always lowered or raised. Rather it gets shifted towards a midpoint depending on estate influence. So on a certain influence level the ratio might trend towards 50% crown/50% estate. If you already have only 10% crownland then the 50% share you get of the new land moves you up towards 50%, while if you have 90% then the 50% share the estate gets trends you down to 50% crownland. I'm not sure if the amount moved is proportional to dev, dev compared to your total dev, or just a per province thing.

For this reason selling crownland down to 10% or even 0% is good early game since you regain it back on conquest even with max privileges. I've heard that absolutism also is counted in getting you a greater crownland share when you conquer but I don't really play that long in EU4 games so I don't have much experience with high absolutism.
Have you tried any starts with this? I could see it being strong going from a timmy vassal, Ottos also
 

Maxxie42

Major
25 Badges
Oct 18, 2019
670
2.200
  • Europa Universalis IV: Mare Nostrum
  • Victoria 3 Sign Up
  • Europa Universalis 4: Emperor
  • Crusader Kings III
  • Europa Universalis IV: Golden Century
  • Europa Universalis IV: Dharma
  • Cities: Skylines - Parklife
  • Europa Universalis IV: Rule Britannia
  • Europa Universalis IV: Mandate of Heaven
  • Cities: Skylines - Mass Transit
  • Europa Universalis IV: Rights of Man
  • Europa Universalis IV
  • Europa Universalis IV: Common Sense
  • Europa Universalis IV: Pre-order
  • Europa Universalis IV: El Dorado
  • Cities: Skylines
  • Europa Universalis IV: Cossacks
  • Cities: Skylines - After Dark
  • Europa Universalis IV: Third Rome
  • Europa Universalis IV: Cradle of Civilization
  • Europa Universalis IV: Res Publica
  • Europa Universalis IV: Call to arms event
  • Europa Universalis IV: Wealth of Nations
  • Europa Universalis IV: Conquest of Paradise
  • Europa Universalis IV: Art of War
@grotaclas Thanks for the very useful formula, it was also bugging me not knowing exactly how it worked !

The formula confirms that newly conquered land brings your crownland closer to an equilibrium point that is determined by how influential your estates are. Absolutism increases the share of crowland in this equilibrium point as well.

Here are a few useful takeaways for anyone who doesn't wanna bother with the formula :

- With 3 estates, 60% influence each, no absolutism, the equilibrium point is 25% crownland ;

- With 3 estates, 20% influence each, no absolutism, the equilibrium point is 50% crownland ;

- With 3 estates, 20% influence each, 100 absolutism, the equilibrium point is about 73% crownland.
 
  • 7
  • 1
Reactions:

RMS Oceanic

General
49 Badges
Jan 27, 2014
2.476
3.629
  • Darkest Hour
  • Crusader Kings II
  • Magicka
  • Europa Universalis IV: Res Publica
  • Europa Universalis IV: Pre-order
  • Europa Universalis IV: Third Rome
  • Europa Universalis IV: Mandate of Heaven
  • Europa Universalis IV: Common Sense
  • Crusader Kings II: Horse Lords
  • Europa Universalis IV: Cossacks
  • Crusader Kings II: Conclave
  • Hearts of Iron IV: Cadet
  • Crusader Kings II: Reapers Due
  • Europa Universalis IV: Rights of Man
  • Hearts of Iron IV: Together for Victory
  • Crusader Kings II: Monks and Mystics
  • Europa Universalis IV: El Dorado
  • Hearts of Iron IV: Death or Dishonor
  • Europa Universalis IV: Cradle of Civilization
  • Crusader Kings II: Jade Dragon
  • Hearts of Iron IV: Expansion Pass
  • Europa Universalis IV: Rule Britannia
  • Europa Universalis IV: Dharma
  • Crusader Kings II: Holy Fury
  • Europa Universalis IV: Golden Century
  • Imperator: Rome
  • Europa Universalis 4: Emperor
  • Crusader Kings II: Way of Life
  • Europa Universalis III
  • Victoria 2
  • Europa Universalis III Complete
  • Europa Universalis III Complete
  • Europa Universalis III Complete
  • Europa Universalis IV
  • Europa Universalis IV: Call to arms event
  • Europa Universalis IV: Wealth of Nations
  • Europa Universalis IV: Conquest of Paradise
  • Crusader Kings II: Legacy of Rome
  • Crusader Kings II: The Old Gods
  • Crusader Kings II: Rajas of India
  • Crusader Kings II: The Republic
  • Crusader Kings II: Sons of Abraham
  • Crusader Kings II: Sunset Invasion
  • Crusader Kings II: Sword of Islam
  • Europa Universalis IV: Art of War
  • Crusader Kings II: Charlemagne
  • Europa Universalis IV: Mare Nostrum
  • Victoria 2: A House Divided
  • Victoria 2: Heart of Darkness
Thanks so much for the concrete info! So my own personal takeaways:

- Countries with 4/5 estates will have a harder time maintaining a higher equilibrium. Parliament helps in this regard, but then it's harder to make your estates loyal enough to seize land.
- Using monopolies to keep estates happy without raising influence is an even better idea
- Court and Country is even more important given having 110/120 absolutism will raise your equilibrium

I still wish vassal annexing and colonial conquest didn't affect crownland like that though. Also that the non-base estates had more ways of improving loyalty.
 

grotaclas

Field Marshal
54 Badges
Aug 7, 2019
5.037
4.588
  • Victoria 3 Sign Up
  • Battle for Bosporus
  • Hearts of Iron IV: Expansion Pass
  • Hearts of Iron IV: Expansion Pass
  • Hearts of Iron IV: Death or Dishonor
  • Hearts of Iron IV: Cadet
  • Europa Universalis IV
  • Europa Universalis IV: Call to arms event
  • Europa Universalis IV: Conquest of Paradise
  • Europa Universalis IV: Wealth of Nations
  • Europa Universalis IV: Res Publica
  • Europa Universalis IV: Art of War
  • Europa Universalis IV: El Dorado
  • Europa Universalis IV: Common Sense
  • Europa Universalis IV: Cossacks
  • Europa Universalis IV: Mare Nostrum
  • Europa Universalis IV: Rights of Man
  • Europa Universalis IV: Mandate of Heaven
  • Europa Universalis IV: Third Rome
  • Europa Universalis IV: Cradle of Civilization
  • Europa Universalis IV: Rule Britannia
  • Europa Universalis IV: Dharma
  • Europa Universalis IV: Golden Century
  • Europa Universalis 4: Emperor
  • Cities: Skylines
I still wish vassal annexing and colonial conquest didn't affect crownland like that though
If you give the land directly to your colonial nation in a peace deal, your crownland will not change. But of course this is not always possible and there are other considerations which sometimes make it a worse option.
 

iClipse

Colonel
18 Badges
Jul 17, 2019
876
2.516
  • Europa Universalis IV: Cossacks
  • Europa Universalis 4: Emperor
  • Europa Universalis IV: Golden Century
  • Europa Universalis IV: Dharma
  • Europa Universalis IV: Rule Britannia
  • Europa Universalis IV: Cradle of Civilization
  • Age of Wonders III
  • Europa Universalis IV: Third Rome
  • Europa Universalis IV: Mare Nostrum
  • Crusader Kings II
  • Europa Universalis IV: Common Sense
  • Europa Universalis IV: El Dorado
  • Europa Universalis IV: Res Publica
  • Europa Universalis IV: Call to arms event
  • Europa Universalis IV: Wealth of Nations
  • Europa Universalis IV: Conquest of Paradise
  • Europa Universalis IV: Art of War
  • Europa Universalis IV
This thread is learning me a few things.

But if I understand it correctly..
- If you're conquering a lot of stuff:
a) Seize land is mostly useless, because you will go back to the equilibrium anyway
b) Having estates with low influence might actually help in increasing crown land and then using that to sell it again
c) Your early game crown land mostly doesn't matter prior to absolutism since once you increase it anyway once absolutism hits
d) considering the above: giving privileges to your estates isn't so needed, because the biggest reason you'd do that anyway is to keep them happy so you can seize land

For tall or pacifist play where you don't conquer a lot of stuff, these conclusions are obviously not true.
 

Maxxie42

Major
25 Badges
Oct 18, 2019
670
2.200
  • Europa Universalis IV: Mare Nostrum
  • Victoria 3 Sign Up
  • Europa Universalis 4: Emperor
  • Crusader Kings III
  • Europa Universalis IV: Golden Century
  • Europa Universalis IV: Dharma
  • Cities: Skylines - Parklife
  • Europa Universalis IV: Rule Britannia
  • Europa Universalis IV: Mandate of Heaven
  • Cities: Skylines - Mass Transit
  • Europa Universalis IV: Rights of Man
  • Europa Universalis IV
  • Europa Universalis IV: Common Sense
  • Europa Universalis IV: Pre-order
  • Europa Universalis IV: El Dorado
  • Cities: Skylines
  • Europa Universalis IV: Cossacks
  • Cities: Skylines - After Dark
  • Europa Universalis IV: Third Rome
  • Europa Universalis IV: Cradle of Civilization
  • Europa Universalis IV: Res Publica
  • Europa Universalis IV: Call to arms event
  • Europa Universalis IV: Wealth of Nations
  • Europa Universalis IV: Conquest of Paradise
  • Europa Universalis IV: Art of War
This thread is learning me a few things.

But if I understand it correctly..
- If you're conquering a lot of stuff:
a) Seize land is mostly useless, because you will go back to the equilibrium anyway
b) Having estates with low influence might actually help in increasing crown land and then using that to sell it again
c) Your early game crown land mostly doesn't matter prior to absolutism since once you increase it anyway once absolutism hits
d) considering the above: giving privileges to your estates isn't so needed, because the biggest reason you'd do that anyway is to keep them happy so you can seize land

For tall or pacifist play where you don't conquer a lot of stuff, these conclusions are obviously not true.
I don't think those are right ; or rather, it's impossible to conquer land fast enough for these to be right. The extent to which new land affects your crownland depends on the ratio between previous development and new development. So when you're an OPM, any conquest will have a huge impact, but once you have a few hundred or even a few thousand development, the impact of new conquests becomes marginal. At any rate, seizing land and the likes remain your best bet to increase crownland.

One thing to take from it though, is that it is perfectly viable to raise crownland above 75 or 80 right before 1600, then get rid of most privileges to lower estate influence as much as possible, and then raise absolutism to 100. That way crownland will remain above 75 indefinitely and you don't have to worry about keeping the estates happy since you don't have to seize land anymore.
 
  • 2
  • 1
Reactions:

Don_Quigleone

Field Marshal
87 Badges
Jan 19, 2007
5.026
2.226
  • Stellaris
  • Crusader Kings II: Holy Knight (pre-order)
  • Europa Universalis IV: El Dorado
  • Europa Universalis IV: Pre-order
  • Crusader Kings II: Way of Life
  • Pillars of Eternity
  • Europa Universalis IV: Common Sense
  • Crusader Kings II: Horse Lords
  • Cities: Skylines - After Dark
  • Europa Universalis IV: Cossacks
  • Crusader Kings II: Conclave
  • Cities: Skylines - Snowfall
  • Europa Universalis IV: Mare Nostrum
  • Cities: Skylines
  • Stellaris Sign-up
  • Hearts of Iron IV: Cadet
  • Crusader Kings II: Reapers Due
  • Europa Universalis IV: Rights of Man
  • Tyranny: Archon Edition
  • Stellaris: Digital Anniversary Edition
  • Stellaris: Leviathans Story Pack
  • Cities: Skylines - Natural Disasters
  • Hearts of Iron IV: Together for Victory
  • Crusader Kings II: Monks and Mystics
  • Stellaris - Path to Destruction bundle
  • Hearts of Iron IV: No Step Back
  • Europa Universalis IV: Art of War
  • Crusader Kings II: Charlemagne
  • Crusader Kings II: Legacy of Rome
  • Crusader Kings II: The Old Gods
  • Crusader Kings II: Rajas of India
  • Crusader Kings II: The Republic
  • Crusader Kings II: Sons of Abraham
  • Crusader Kings II: Sunset Invasion
  • Crusader Kings II: Sword of Islam
  • Europa Universalis III
  • Europa Universalis III: Chronicles
  • Divine Wind
  • Europa Universalis IV
  • Crusader Kings II
  • Europa Universalis IV: Conquest of Paradise
  • Europa Universalis IV: Wealth of Nations
  • Heir to the Throne
  • Europa Universalis III Complete
  • Europa Universalis III Complete
  • Europa Universalis IV: Res Publica
  • Victoria: Revolutions
  • Victoria 2
  • Victoria 2: A House Divided
  • Victoria 2: Heart of Darkness
I'm not sure exactly how it works, but I've successfully maintained high crown lands and estates with privileges all while I was expanding, so I do think that seizing it is worthwhile.
 

Vulkandrache

General
32 Badges
Oct 11, 2014
2.232
1.878
  • Crusader Kings II
  • Europa Universalis IV: Pre-order
  • Victoria 2: Heart of Darkness
  • Victoria 2: A House Divided
  • Semper Fi
  • Victoria: Revolutions
  • Europa Universalis IV: Res Publica
  • Magicka
  • Hearts of Iron III: Their Finest Hour
  • Hearts of Iron III
  • For the Motherland
  • Europa Universalis IV: Wealth of Nations
  • Europa Universalis IV: Conquest of Paradise
  • Europa Universalis IV: Art of War
  • Europa Universalis IV: Third Rome
  • Europa Universalis IV: Mandate of Heaven
  • Europa Universalis IV: Cradle of Civilization
  • Europa Universalis IV: Rule Britannia
  • Europa Universalis IV: Rights of Man
  • Prison Architect
  • Crusader Kings II: Reapers Due
  • Crusader Kings II: Conclave
  • Europa Universalis IV: Cossacks
  • Europa Universalis IV: Common Sense
  • Crusader Kings II: Way of Life
  • Europa Universalis IV: El Dorado
  • Victoria 2
  • Europa Universalis IV
  • Europa Universalis IV: Mare Nostrum
  • Crusader Kings II: Sword of Islam
  • Crusader Kings II: The Old Gods
  • Crusader Kings II: Legacy of Rome
I've found it can drop below 30% when conquering so always seize land
If i understand these explanations correctly this is exactly the wrong way.
You want to sell crownland so you stay below the equilibrium. That way conquest gives Cl instead of losing it.
Especialy if you are still small and before absolutism.
 

Battlex

Field Marshal
59 Badges
Apr 4, 2017
6.011
6.380
  • Crusader Kings II
  • Hearts of Iron IV: La Resistance
  • Europa Universalis IV: Cossacks
  • Crusader Kings II: Horse Lords
  • Europa Universalis IV: Common Sense
  • Crusader Kings II: Way of Life
  • Crusader Kings II: Conclave
  • Europa Universalis III: Collection
  • Stellaris
  • Hearts of Iron IV: Cadet
  • Victoria 2
  • Crusader Kings II: Reapers Due
  • Hearts of Iron IV: Expansion Pass
  • Europa Universalis IV: Rights of Man
  • Hearts of Iron IV: Together for Victory
  • Crusader Kings II: Monks and Mystics
  • Imperator: Rome Deluxe Edition
  • Europa Universalis IV: Golden Century
  • Crusader Kings II: Holy Fury
  • Europa Universalis 4: Emperor
  • Europa Universalis IV: Dharma
  • Europa Universalis IV: Rule Britannia
  • Crusader Kings III
  • Hearts of Iron IV: Expansion Pass
  • Imperator: Rome - Magna Graecia
  • Europa Universalis IV: Cradle of Civilization
  • Europa Universalis IV
  • Hearts of Iron IV: Death or Dishonor
  • Imperator: Rome
  • Europa Universalis IV: Mandate of Heaven
  • Battle for Bosporus
  • Rome: Vae Victis
  • Europa Universalis IV: Mare Nostrum
  • Europa Universalis IV: Conquest of Paradise
  • Crusader Kings II: Charlemagne
  • Crusader Kings II: Legacy of Rome
  • Crusader Kings II: Rajas of India
  • Crusader Kings II: The Republic
  • Crusader Kings II: Sunset Invasion
  • Crusader Kings II: Sword of Islam
  • Divine Wind
  • Europa Universalis IV: Art of War
  • Europa Universalis IV: Pre-order
  • Europa Universalis IV: Wealth of Nations
  • Heir to the Throne
  • Europa Universalis IV: Res Publica
  • Europa Universalis: Rome
  • Sengoku
  • Victoria 2: A House Divided
  • Victoria 2: Heart of Darkness
If i understand these explanations correctly this is exactly the wrong way.
You want to sell crownland so you stay below the equilibrium. That way conquest gives Cl instead of losing it.
Especialy if you are still small and before absolutism.
I play medium to majors normally, so wouldn't I need to be conquering quite alot of dev to restore the equilibriumif I started the game by selling Crown land and granting the +1 mana powers. There's also the increased liberty desire which makes it not always ideal to follow this strat
 

Maxxie42

Major
25 Badges
Oct 18, 2019
670
2.200
  • Europa Universalis IV: Mare Nostrum
  • Victoria 3 Sign Up
  • Europa Universalis 4: Emperor
  • Crusader Kings III
  • Europa Universalis IV: Golden Century
  • Europa Universalis IV: Dharma
  • Cities: Skylines - Parklife
  • Europa Universalis IV: Rule Britannia
  • Europa Universalis IV: Mandate of Heaven
  • Cities: Skylines - Mass Transit
  • Europa Universalis IV: Rights of Man
  • Europa Universalis IV
  • Europa Universalis IV: Common Sense
  • Europa Universalis IV: Pre-order
  • Europa Universalis IV: El Dorado
  • Cities: Skylines
  • Europa Universalis IV: Cossacks
  • Cities: Skylines - After Dark
  • Europa Universalis IV: Third Rome
  • Europa Universalis IV: Cradle of Civilization
  • Europa Universalis IV: Res Publica
  • Europa Universalis IV: Call to arms event
  • Europa Universalis IV: Wealth of Nations
  • Europa Universalis IV: Conquest of Paradise
  • Europa Universalis IV: Art of War
If i understand these explanations correctly this is exactly the wrong way.
You want to sell crownland so you stay below the equilibrium. That way conquest gives Cl instead of losing it.
Especialy if you are still small and before absolutism.
It can be tempting to do it that way, because it feels efficient. But I think it can also lead you to lose sight of the larger picture, like how valuable privileges can be, and how having them might be worth lowering the equilibrium point.

It's only my personal opinion, but before absolutism, it's probably best not to worry too much about the equilibrium thingy, because all you really need is to stay above 30% crownland, and that's easy to do even with very influential estates as long as you regularly seize land.

After 1600, then it becomes more relevant, because then the important threshold becomes 75% crownland, and that's a lot more difficult to maintain, especially if seizing land causes rebellions because you've gotten rid of all the privileges that lower max absolutism.

One last thing to consider is that calling for a diet raises influence of all estates for 20 years, so while the rewards can be quite good, they come with the hidden cost of a (slightly) lower equilibrium.
 
  • 1
Reactions:

Vulkandrache

General
32 Badges
Oct 11, 2014
2.232
1.878
  • Crusader Kings II
  • Europa Universalis IV: Pre-order
  • Victoria 2: Heart of Darkness
  • Victoria 2: A House Divided
  • Semper Fi
  • Victoria: Revolutions
  • Europa Universalis IV: Res Publica
  • Magicka
  • Hearts of Iron III: Their Finest Hour
  • Hearts of Iron III
  • For the Motherland
  • Europa Universalis IV: Wealth of Nations
  • Europa Universalis IV: Conquest of Paradise
  • Europa Universalis IV: Art of War
  • Europa Universalis IV: Third Rome
  • Europa Universalis IV: Mandate of Heaven
  • Europa Universalis IV: Cradle of Civilization
  • Europa Universalis IV: Rule Britannia
  • Europa Universalis IV: Rights of Man
  • Prison Architect
  • Crusader Kings II: Reapers Due
  • Crusader Kings II: Conclave
  • Europa Universalis IV: Cossacks
  • Europa Universalis IV: Common Sense
  • Crusader Kings II: Way of Life
  • Europa Universalis IV: El Dorado
  • Victoria 2
  • Europa Universalis IV
  • Europa Universalis IV: Mare Nostrum
  • Crusader Kings II: Sword of Islam
  • Crusader Kings II: The Old Gods
  • Crusader Kings II: Legacy of Rome
I play medium to majors normally
I did try a game as the Knights into Jerusalem. Before knowing these numbers it felt as if i was trying to fight windmills
trying to keep CL up with seizing. Especialy with having to be at peace AND requring 0 rebels anywhere making it realy hard to do it on Cooldown.
There was no way to keep it at any reasonable level.

By 1600 i was at 1100 Dev myself and 2400 in vassals and even thou i had revoked all but one priviledges
the estates will still linger at about 30% influence each.
A normal peacedeal (~60% land with some -WSC) would cost nearly a whole percent CL making me stagnate around 43%
with seizing. And thats in exchange for rebels and unrest everywhere.

Id rather get 1k gold every few years and gain crownland from conquest instead.

It can be tempting to do it that way, because it feels efficient. But I think it can also lead you to lose sight of the larger picture, like how valuable privileges can be, and how having them might be worth lowering the equilibrium point.
The juciest priviledges (Expansionist Zealotry lol) are not available to me as i do not own Emperor.
The only one i still had active shortly before 1600 was "strong duchies" since its unbelievably broken strong.
Even the extra MP arent worth it at that point. But again. That was only my first real game on 1.30.
 

Battlex

Field Marshal
59 Badges
Apr 4, 2017
6.011
6.380
  • Crusader Kings II
  • Hearts of Iron IV: La Resistance
  • Europa Universalis IV: Cossacks
  • Crusader Kings II: Horse Lords
  • Europa Universalis IV: Common Sense
  • Crusader Kings II: Way of Life
  • Crusader Kings II: Conclave
  • Europa Universalis III: Collection
  • Stellaris
  • Hearts of Iron IV: Cadet
  • Victoria 2
  • Crusader Kings II: Reapers Due
  • Hearts of Iron IV: Expansion Pass
  • Europa Universalis IV: Rights of Man
  • Hearts of Iron IV: Together for Victory
  • Crusader Kings II: Monks and Mystics
  • Imperator: Rome Deluxe Edition
  • Europa Universalis IV: Golden Century
  • Crusader Kings II: Holy Fury
  • Europa Universalis 4: Emperor
  • Europa Universalis IV: Dharma
  • Europa Universalis IV: Rule Britannia
  • Crusader Kings III
  • Hearts of Iron IV: Expansion Pass
  • Imperator: Rome - Magna Graecia
  • Europa Universalis IV: Cradle of Civilization
  • Europa Universalis IV
  • Hearts of Iron IV: Death or Dishonor
  • Imperator: Rome
  • Europa Universalis IV: Mandate of Heaven
  • Battle for Bosporus
  • Rome: Vae Victis
  • Europa Universalis IV: Mare Nostrum
  • Europa Universalis IV: Conquest of Paradise
  • Crusader Kings II: Charlemagne
  • Crusader Kings II: Legacy of Rome
  • Crusader Kings II: Rajas of India
  • Crusader Kings II: The Republic
  • Crusader Kings II: Sunset Invasion
  • Crusader Kings II: Sword of Islam
  • Divine Wind
  • Europa Universalis IV: Art of War
  • Europa Universalis IV: Pre-order
  • Europa Universalis IV: Wealth of Nations
  • Heir to the Throne
  • Europa Universalis IV: Res Publica
  • Europa Universalis: Rome
  • Sengoku
  • Victoria 2: A House Divided
  • Victoria 2: Heart of Darkness
I did try a game as the Knights into Jerusalem. Before knowing these numbers it felt as if i was trying to fight windmills
trying to keep CL up with seizing. Especialy with having to be at peace AND requring 0 rebels anywhere making it realy hard to do it on Cooldown.
There was no way to keep it at any reasonable level.

By 1600 i was at 1100 Dev myself and 2400 in vassals and even thou i had revoked all but one priviledges
the estates will still linger at about 30% influence each.
A normal peacedeal (~60% land with some -WSC) would cost nearly a whole percent CL making me stagnate around 43%
with seizing. And thats in exchange for rebels and unrest everywhere.

Id rather get 1k gold every few years and gain crownland from conquest instead.


The juciest priviledges (Expansionist Zealotry lol) are not available to me as i do not own Emperor.
The only one i still had active shortly before 1600 was "strong duchies" since its unbelievably broken strong.
Even the extra MP arent worth it at that point. But again. That was only my first real game on 1.30.
It'll be interesting if seize development and the peace deal form will affect Crown land or not, it doesn't effect institutions atm
 

FrogCrusher

Colonel
42 Badges
Feb 22, 2016
808
1.293
  • Crusader Kings II: Legacy of Rome
  • Europa Universalis IV: Third Rome
  • Stellaris: Synthetic Dawn
  • Europa Universalis IV: Res Publica
  • Europa Universalis IV: Call to arms event
  • Europa Universalis IV: Wealth of Nations
  • Europa Universalis IV: Conquest of Paradise
  • Europa Universalis IV: Art of War
  • Crusader Kings II: Sword of Islam
  • Crusader Kings II: Sunset Invasion
  • Crusader Kings II: Sons of Abraham
  • Crusader Kings II: The Republic
  • Crusader Kings II: Rajas of India
  • Crusader Kings II
  • Crusader Kings II: The Old Gods
  • Europa Universalis 4: Emperor
  • Hearts of Iron IV: Death or Dishonor
  • Europa Universalis IV: Cradle of Civilization
  • Hearts of Iron IV: Expansion Pass
  • Europa Universalis IV: Rule Britannia
  • Europa Universalis IV: Dharma
  • Shadowrun Returns
  • Europa Universalis IV: Golden Century
  • Imperator: Rome Deluxe Edition
  • Imperator: Rome
  • Hearts of Iron IV: Expansion Pass
  • Imperator: Rome Sign Up
  • Imperator: Rome - Magna Graecia
  • Europa Universalis IV: Mandate of Heaven
  • Stellaris - Path to Destruction bundle
  • Hearts of Iron IV: Together for Victory
  • Stellaris: Leviathans Story Pack
  • Stellaris: Digital Anniversary Edition
  • Europa Universalis IV: Rights of Man
  • Hearts of Iron IV: Cadet
  • Stellaris
  • Europa Universalis IV: Mare Nostrum
  • Europa Universalis IV: Cossacks
  • Europa Universalis IV: Common Sense
  • Pillars of Eternity
  • Europa Universalis IV: El Dorado
  • Europa Universalis IV
I don't have time for a long explanation, but the formula for the land share of the estate x after conquest is (crownland is what is left over):
View attachment 685764
dev_new is the newly conquered/integrated development (dev_after - dev_before). Influence and landShare are values between 0 and 1. Absolutism is not capped at 100. All the individual terms (including the influences of each estate) are truncated after the third decimal place. So a 19.502% land share becomes 0.19502 and then gets truncated to 0.195. The digits which have been truncated from the original land share are added again at the end, so they don't change due to conquest(at least I didn't find an example when they did).
I wanted to make a more detailed post about this, but I didn't find the time. And there might be some edge cases which I'm missing. But to be really sure that I didn't miss anything, I'd like to get some more examples from real games. Anybody who wants to help with that, could write down the following information for a few conquests/integrations (and make a copy of the save game before): influence and land share of each estate; absolutism(the uncapped value); development before the conquest/integration; newly aquired development. This can be entered in the following spreadsheet: https://docs.google.com/spreadsheets/d/1_lnTX2FNlT68Z9by0qhKOrZasDC1M56skh06HehTFpg/edit?usp=sharing
If the formula is correct, it can also be written the following way:
formula_sharing.PNG

So, the equilibrium point for each estate is given by
equilibrium_point.PNG

It as also to be noted that if dev_new << dev_after (which is in most common situation the case), the factor is almost equal to dev_new/dev_after so the convergence toward the equilibrium point will be very slow...
 
Last edited:

Battlex

Field Marshal
59 Badges
Apr 4, 2017
6.011
6.380
  • Crusader Kings II
  • Hearts of Iron IV: La Resistance
  • Europa Universalis IV: Cossacks
  • Crusader Kings II: Horse Lords
  • Europa Universalis IV: Common Sense
  • Crusader Kings II: Way of Life
  • Crusader Kings II: Conclave
  • Europa Universalis III: Collection
  • Stellaris
  • Hearts of Iron IV: Cadet
  • Victoria 2
  • Crusader Kings II: Reapers Due
  • Hearts of Iron IV: Expansion Pass
  • Europa Universalis IV: Rights of Man
  • Hearts of Iron IV: Together for Victory
  • Crusader Kings II: Monks and Mystics
  • Imperator: Rome Deluxe Edition
  • Europa Universalis IV: Golden Century
  • Crusader Kings II: Holy Fury
  • Europa Universalis 4: Emperor
  • Europa Universalis IV: Dharma
  • Europa Universalis IV: Rule Britannia
  • Crusader Kings III
  • Hearts of Iron IV: Expansion Pass
  • Imperator: Rome - Magna Graecia
  • Europa Universalis IV: Cradle of Civilization
  • Europa Universalis IV
  • Hearts of Iron IV: Death or Dishonor
  • Imperator: Rome
  • Europa Universalis IV: Mandate of Heaven
  • Battle for Bosporus
  • Rome: Vae Victis
  • Europa Universalis IV: Mare Nostrum
  • Europa Universalis IV: Conquest of Paradise
  • Crusader Kings II: Charlemagne
  • Crusader Kings II: Legacy of Rome
  • Crusader Kings II: Rajas of India
  • Crusader Kings II: The Republic
  • Crusader Kings II: Sunset Invasion
  • Crusader Kings II: Sword of Islam
  • Divine Wind
  • Europa Universalis IV: Art of War
  • Europa Universalis IV: Pre-order
  • Europa Universalis IV: Wealth of Nations
  • Heir to the Throne
  • Europa Universalis IV: Res Publica
  • Europa Universalis: Rome
  • Sengoku
  • Victoria 2: A House Divided
  • Victoria 2: Heart of Darkness
If the formula is correct, it can also be written the following way:
View attachment 686198
So, the equilibrium point for each estate is given by
View attachment 686200
It as also to be noted that if dev_new << dev_after (which is in most common situation the case), the factor is almost equal to dev_new/dev_after so the convergence toward the equilibrium point will be very slow...
If conquest can lower crown land, could giving up land to vassals increase crown land share? It seems obvious but just wanna check